电脑桌面
添加小米粒文库到电脑桌面
安装后可以在桌面快捷访问

数学选修4-5不等式选讲VIP免费

数学选修4-5不等式选讲_第1页
1/7
数学选修4-5不等式选讲_第2页
2/7
数学选修4-5不等式选讲_第3页
3/7
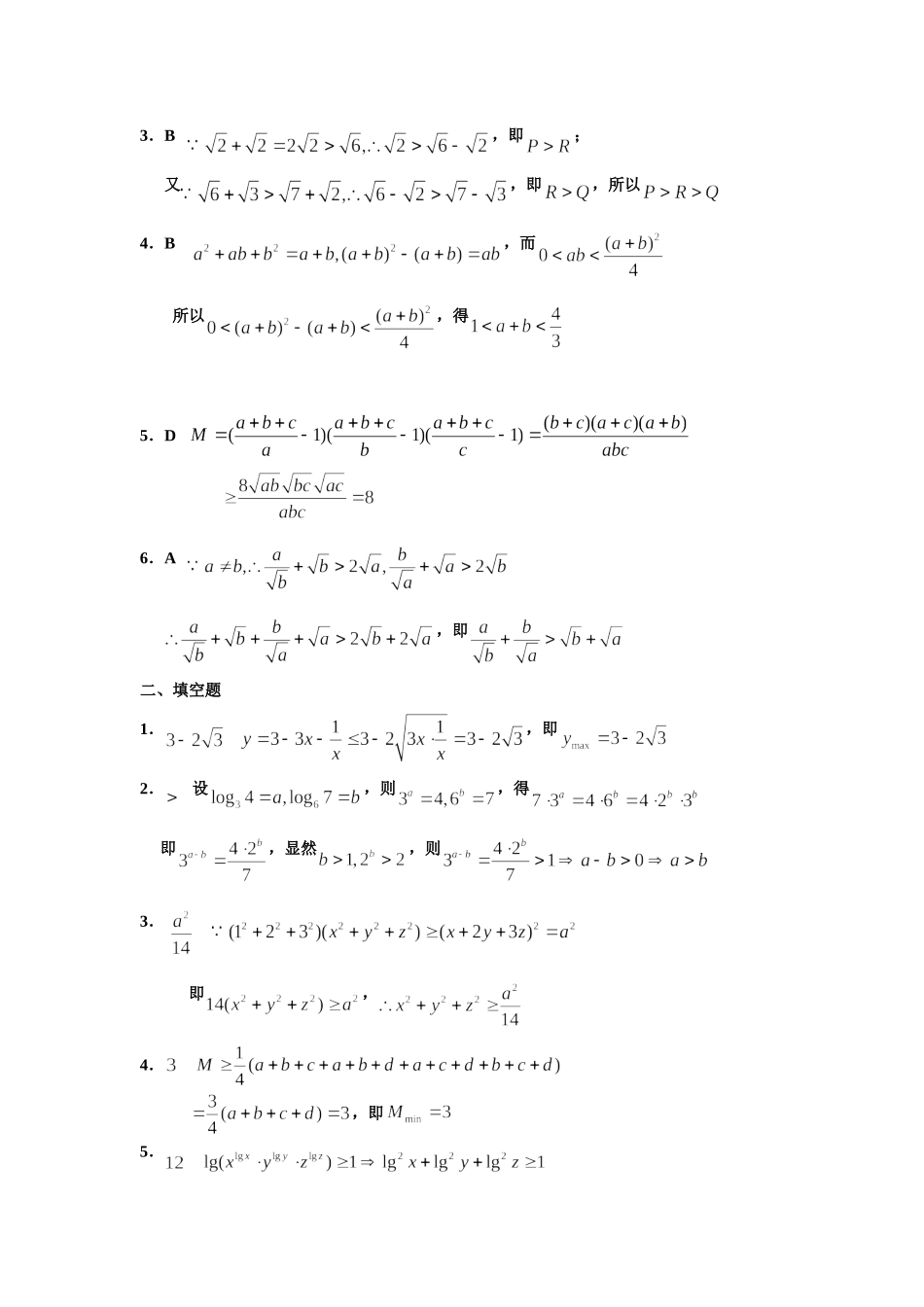
数学选修4-5不等式选讲一、选择题1.若,则的最小值是()A.B.3323C.233D.3222.,设,则下列判断中正确的是()A.B.C.D.3.若,则函数的最小值为()A.B.C.D.非上述情况4.设,且,,,,,则它们的大小关系是()A.B.C.D.二、填空题1.函数的值域是.2.若,且,则的最大值是3.已知,比较与的大小关系为.4.若,则的最大值为.5.若是正数,且满足,则的最小值为______。三、解答题1.设,且,求证:2.已知,求证:3.已知,比较与的大小。4.求函数的最大值。5.已知,且求证:一、选择题1.C,而恒成立,得2.C3.B,即;又,即,所以4.B,而所以,得5.D6.A,即二、填空题1.,即2.设,则,得即,显然,则3.即,4.,即5.而即,而均不小于得,此时,或,或,得,或,或三、解答题1.解:当时,解集显然为,所以2.证明:即3.证明:(本题也可以用数学归纳法)4.证明:是方程的两个不等实根,则,得而即,得所以,即数学选修4-5不等式选讲提高训练C组]一、选择题1.A由得,而2.B即,,,,得,即,得,所以3.B4.A为平方平均数,它最大二、填空题1.,得2.3.构造单调函数,则,,即,恒成立,所以,即4.设,则,即再令,即时,是的减函数,得时,5.三、解答题1.证明:,2.证明:3.解:取两组数:与,显然是同序和,是乱序和,所以4.解:函数的定义域为,且5.证明:显然是方程的两个实根,由得,同理可得,

1、当您付费下载文档后,您只拥有了使用权限,并不意味着购买了版权,文档只能用于自身使用,不得用于其他商业用途(如 [转卖]进行直接盈利或[编辑后售卖]进行间接盈利)。
2、本站所有内容均由合作方或网友上传,本站不对文档的完整性、权威性及其观点立场正确性做任何保证或承诺!文档内容仅供研究参考,付费前请自行鉴别。
3、如文档内容存在违规,或者侵犯商业秘密、侵犯著作权等,请点击“违规举报”。

碎片内容

数学选修4-5不等式选讲

您可能关注的文档

教育精品店+ 关注
实名认证
内容提供者

优良的服务

相关文档

确认删除?
VIP
微信客服
  • 扫码咨询
会员Q群
  • 会员专属群点击这里加入QQ群
客服邮箱
回到顶部