电脑桌面
添加小米粒文库到电脑桌面
安装后可以在桌面快捷访问

人教A版数学必修一河北衡水中学高一数学强化作业:习题课VIP免费

人教A版数学必修一河北衡水中学高一数学强化作业:习题课_第1页
1/6
人教A版数学必修一河北衡水中学高一数学强化作业:习题课_第2页
2/6
人教A版数学必修一河北衡水中学高一数学强化作业:习题课_第3页
3/6
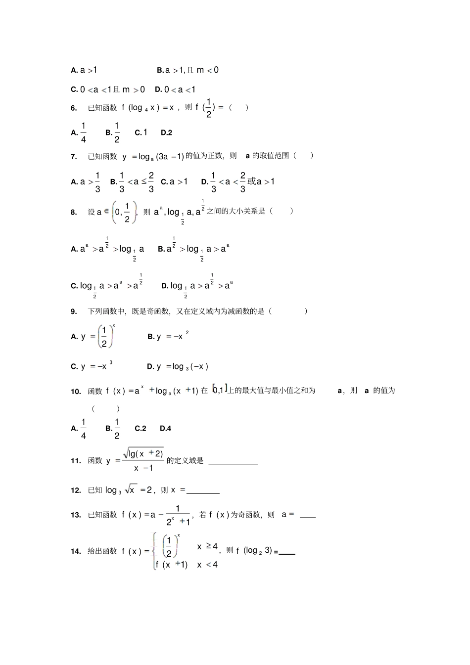
高中数学学习材料(灿若寒星精心整理制作)1.函数1)(xaxf(1,0aa)的值域为,1,则)4(f与)1(f的关系是()A.(4)(1)ffB.)4(f>)1(fC.)4(f<)1(fD.不能确定2.若幂函数的图象过)3,3(3,则该解析式为()A.3xyB.31xyC.31xyD.1xy3.若13log2x,则xx93的值为()A.3B.25C.6D.214.已知1,0aa,下列四组函数中表示相等函数的是()A.xyalog与1)(logayxB.xaaylog与xy,C.xy2与xaay2logD.2logxya与xyalog25.若函数)1,0(1aamayx的图象在第一、三、四象限内,则()A.1aB.,1a且0mC.10a且0mD.10a6.已知函数xxf)(log4,则)21(f()A.41B.21C.1D.27.已知函数)13(logaya的值为正数,则a的取值范围()A.31aB.3231aC.1aD.13231aa或8.设21,0a,则2121,log,aaaa之间的大小关系是()A.aaaa2121logB.aaaa2121logC.2121logaaaaD.aaaa2121log9.下列函数中,既是奇函数,又在定义域内为减函数的是()A.xy21B.2xyC.3xyD.)(log3xy10.函数)1(log)(xaxfax在1,0上的最大值与最小值之和为a,则a的值为()A.41B.21C.2D.411.函数1)2lg(xxy的定义域是12.已知2log3x,则x13.已知函数121)(xaxf,若)(xf为奇函数,则a14.给出函数4)1(421)(xxfxxfx,则)3(log2f=15.已知zyx,,均为正实数,且zyx643求证:yxz211116.若21log321x,求4log2log)(22xxxf的最大值和最小值。17.(实验)已知函数321121)(xxfx(1)求)(xf的定义域;(2)判断)(xf的奇偶性(3)求证0)(xf18.(实验)已知函数)1(log)(xxfa,)1(log)(xxga)1,0(aa,令)()()(xgxfxF(1)求函数)(xFy的定义域(2)判断)(xFy的奇偶性;(3)证明:xyyxFyFxF1()()(第二章习题课(1)BBCCBDDCCC1.解析:3210,1xaaa故选B。3.解析:33log2log23log2,3939246xxx故选C。7.解析:则题意1013110311aaaa或,选D。10.解析:因为函数取到最大值和最小值在两个端点,11log2,log21,2aaaaa故选B。11,11.1解析:若函数有意义,则21,1110xxxx且128113。21解析:1(),21xfxa为奇函数1(0)0,2fa。14。24115.证明:设)0(,643kkzyxkkykx643log6,log,log2log3log6loglog1log11136kkkkkxz2log21ky∴yxz211116.解:由21log321x得21log32x4log2log)(22xxxf222231(log1)(log2)(log)24xxx所以当23log2x时min1().4fx当2log3x时max()2fx。17.(1),00,;(2)偶函数(3)当,0x0,01213xx,∴0)(xf∵)(xf为偶函数,∴,0x0)(xf综上所述,对于定义域之内的任意实数x都有0)(xf18.(1)1,1(2)奇函数(3)证明:yyxxyFxFaa11log11log)()(xyyxxyyxa11log而xyyxxyyxyxFa1111logxyyxxyyxa11log故xyyxFyFxF1()()(

1、当您付费下载文档后,您只拥有了使用权限,并不意味着购买了版权,文档只能用于自身使用,不得用于其他商业用途(如 [转卖]进行直接盈利或[编辑后售卖]进行间接盈利)。
2、本站所有内容均由合作方或网友上传,本站不对文档的完整性、权威性及其观点立场正确性做任何保证或承诺!文档内容仅供研究参考,付费前请自行鉴别。
3、如文档内容存在违规,或者侵犯商业秘密、侵犯著作权等,请点击“违规举报”。

碎片内容

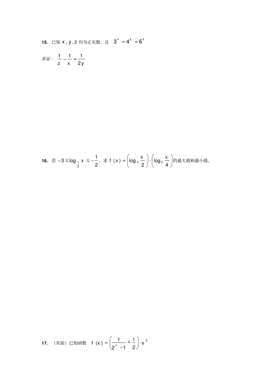
人教A版数学必修一河北衡水中学高一数学强化作业:习题课

爱的疯狂+ 关注
实名认证
内容提供者

该用户很懒,什么也没介绍

相关文档

确认删除?
VIP
微信客服
  • 扫码咨询
会员Q群
  • 会员专属群点击这里加入QQ群
客服邮箱
回到顶部