电脑桌面
添加小米粒文库到电脑桌面
安装后可以在桌面快捷访问

合并同类项经典提高练习题VIP免费

合并同类项经典提高练习题_第1页
1/4
合并同类项经典提高练习题_第2页
2/4
合并同类项经典提高练习题_第3页
3/4
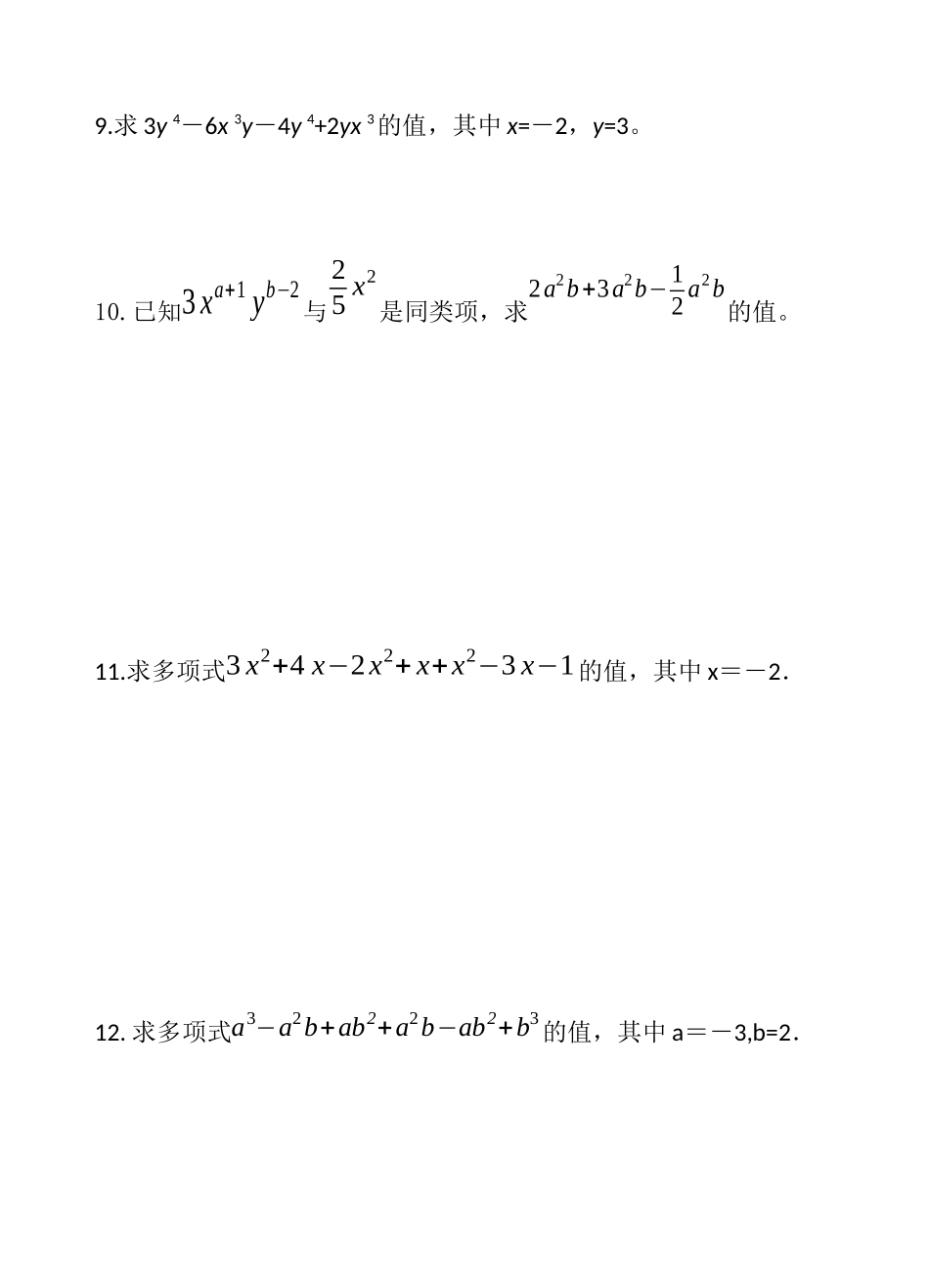
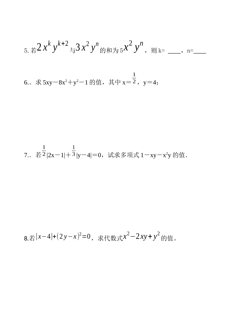
合并同类项经典练习题1.单项式与5x4y3是同类项,求的值2.x5-y3+4x2y-4x+5,其中x=-1,y=-2;3.x3-x+1-x2,其中x=-3;4.已知和是同类项,求的值5.若2xkyk+2与3x2yn的和为5x2yn,则k=,n=6..求5xy-8x2+y2-1的值,其中x=12,y=4;7..若12|2x-1|+13|y-4|=0,试求多项式1-xy-x2y的值.8.若|x−4|+(2y−x)2=0,求代数式x2−2xy+y2的值。9.求3y4-6x3y-4y4+2yx3的值,其中x=-2,y=3。10.已知3xa+1yb−2与25x2是同类项,求2a2b+3a2b−12a2b的值。11.求多项式3x2+4x−2x2+x+x2−3x−1的值,其中x=-2.12.求多项式a3−a2b+ab2+a2b−ab2+b3的值,其中a=-3,b=2.13.有理数a,b,c在数轴上的位置如图所示化简|a−b|−|b−c|−|c+a|14已知:多项式6-2x2-my-12+3y-nx2合并同类项后不含有x、y,求:2m+3n-mn的值。15.有一道题目是一个多项式减去x+14x-6,小强误当成了加法计算,结果得到2x2-x+3,正确的结果应该是多少?

1、当您付费下载文档后,您只拥有了使用权限,并不意味着购买了版权,文档只能用于自身使用,不得用于其他商业用途(如 [转卖]进行直接盈利或[编辑后售卖]进行间接盈利)。
2、本站所有内容均由合作方或网友上传,本站不对文档的完整性、权威性及其观点立场正确性做任何保证或承诺!文档内容仅供研究参考,付费前请自行鉴别。
3、如文档内容存在违规,或者侵犯商业秘密、侵犯著作权等,请点击“违规举报”。

碎片内容

合并同类项经典提高练习题

确认删除?
VIP
微信客服
  • 扫码咨询
会员Q群
  • 会员专属群点击这里加入QQ群
客服邮箱
回到顶部