电脑桌面
添加小米粒文库到电脑桌面
安装后可以在桌面快捷访问

指数式和对数式VIP免费

指数式和对数式_第1页
1/2
指数式和对数式_第2页
2/2
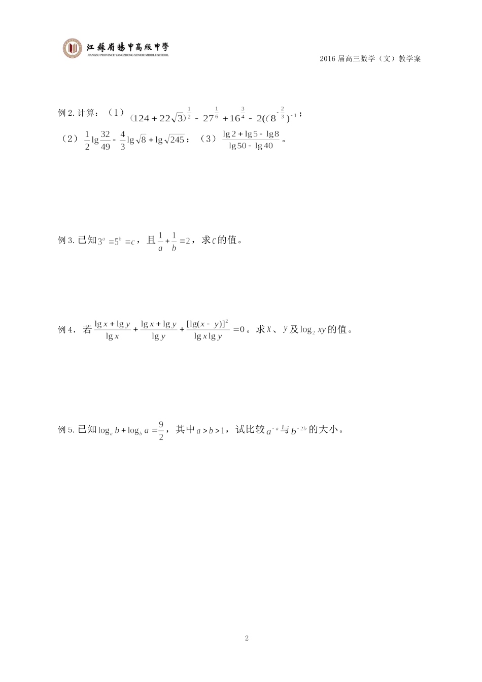
2016届高三数学(文)教学案指数式和对数式一、教学目标:①理解有理指数幂的含义,了解实数指数幂的意义,能进行幂的运算;②理解对数的概念及其运算性质,知道用换底公式能将一般对数转化成自然对数或常用对数;了解对数在简化运算中的作用.了解对数换底公式二、知识梳理1.(且,下同)2.3.指数性质及运算法则:=;=;=;=。4.对数性质及运算法则:=;=;=;=;=;=;=;=(换底公式)。三、基础题1..2.化简得.3.若,且,则.4.若,则.5.已知,那么.6.已知,,。则按从小到大的顺序排列为.7.,,,,则的大小关系是.8.化简的结果是9.化简的结果是三、例题精讲例1.12016届高三数学(文)教学案例2.计算:(1);(2);(3)。例3.已知,且,求的值。例4.若。求、及的值。例5.已知,其中,试比较与的大小。2

1、当您付费下载文档后,您只拥有了使用权限,并不意味着购买了版权,文档只能用于自身使用,不得用于其他商业用途(如 [转卖]进行直接盈利或[编辑后售卖]进行间接盈利)。
2、本站所有内容均由合作方或网友上传,本站不对文档的完整性、权威性及其观点立场正确性做任何保证或承诺!文档内容仅供研究参考,付费前请自行鉴别。
3、如文档内容存在违规,或者侵犯商业秘密、侵犯著作权等,请点击“违规举报”。

碎片内容

指数式和对数式

您可能关注的文档

确认删除?
VIP
微信客服
  • 扫码咨询
会员Q群
  • 会员专属群点击这里加入QQ群
客服邮箱
回到顶部