电脑桌面
添加小米粒文库到电脑桌面
安装后可以在桌面快捷访问

仪器分析计算公式VIP免费

仪器分析计算公式_第1页
1/5
仪器分析计算公式_第2页
2/5
仪器分析计算公式_第3页
3/5
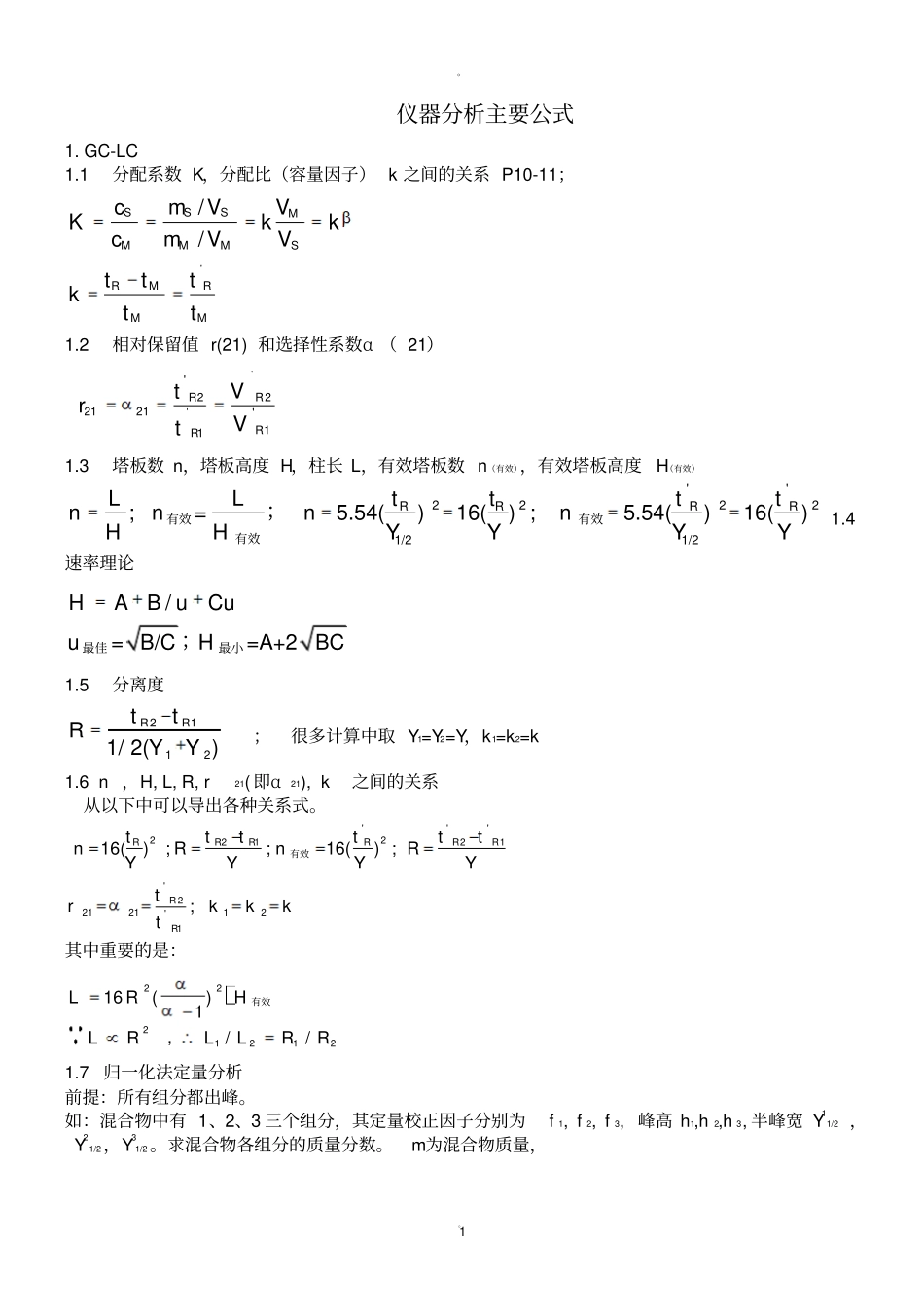
。。1仪器分析主要公式1.GC-LC1.1分配系数K,分配比(容量因子)k之间的关系P10-11;'//SSSMMMMSRMRMMcmVVKkkcmVVtttktt1.2相对保留值r(21)和选择性系数α(21)'''222121'11RRRRtVrVt1.3塔板数n,塔板高度H,柱长L,有效塔板数n(有效),有效塔板高度H(有效)''22221/21/2;=5.54()16();5.54()16()RRRRttttLLnnnnHHYYYY有效有效有效;1.4速率理论/=B/CH=A+2HABuCuuBC最佳最小;1.5分离度21121/2()RRttRYY;很多计算中取Y1=Y2=Y,k1=k2=k1.6n,H,L,R,r21(即α21),k之间的关系从以下中可以导出各种关系式。'''222121'2212112'116();;16();;RRRRRRRRttttttnRnRYYYYtrkkkt有效其中重要的是:222121216()1//LRHLRLLRR有效,1.7归一化法定量分析前提:所有组分都出峰。如:混合物中有1、2、3三个组分,其定量校正因子分别为f1,f2,f3,峰高h1,h2,h3,半峰宽Y11/2,Y21/2,Y31/2。求混合物各组分的质量分数。m为混合物质量,。。21111/211223322112233331122331%100%100%;2%100%3%100%mfAAYhmfAfAfAfAfAfAfAfAfAfAfA其中1.8内办法定量分析先测定混合物的质量m,再向混合物加入质量为ms内标物,混匀后进样测定相应峰面积Ax和As,其中Ax为待测样峰面积,As为内标物峰面积。%100%100%xxxxxxxxxsssssssssxxxsssmfAmfAfAmfAmmmfAmfAfAmfAmxmfAm2.电位2.1通过Nernst公式推导出E电池与C(或α)之间的关系★先看电池的组成,在写电池的公式。①指示(测量)电极‖参比电极(甘汞电极)=-=-E右左测电池参②参比电极(甘汞电极)‖指示(测量)电极=-=-E右左测电池参★再看测定离子的电荷,写出相应膜电位公式:①阳离子:M0.059=lgkCn②阴离子M0.059=lgkCn★最后写出完整的电池公式:如电池的组成为:指示‖参比,测阳离子,则膜电位公式带入测中,常数项合并用K表示,得到以下关系。如电池的组成变化或阳离子或阴离子则公式中符号发生相应变化。0.059=-=K-lgECn测电池参2.2计算方法1)直接比较法一般给出待测样的电动势Ex和标准样的浓度Cs和Es。带入以下公式计算,设Kx=Ks:0.059lg0.059lgExKxCxnEsKsCsn其中±由电池的组成和被测离子电荷决定。如给的是pH值,则lglgHHpHC。2)标准加入法采用直接比较法时,被测液和标样的组成相近才能Kx=Ks,组成不同时Kx≠Ks。。。3此时采用标准加入法。其主要思想是:先测定一定体积(Vx)待测样的电动势Ex,再向此溶液中加入很少量的被测样的标准溶液,其浓度为Cs,体积为Vs,混均后再测此溶液的电动势E。由于所加标样体积很少,待测样的组成基本不变,故Kx≈Ks=K。0.059lg0.059lgExKCxnCxVxCsVsEsKnVxVs公式中Ex,Es,Cs,Vs都已知,就可以求出Cx。3)干扰离子影响的测定以上公式为没有干扰离子时的计算方法。如存在干扰离子,因干扰离子的存在所带来的相对偏差的公式:/()=100%()ninjjiKij相对误差其中i为待测离子,j为干扰离子,Kij为选择性系数,ni和nj为待测离子和干扰离子的电荷数。3.极谱、原子吸收、紫外可见吸收光谱计算极谱:diKC;原子吸收:AKC;紫外可见吸收光谱:AKCbC。计算公式3.1直接比较法1)直接比较法测定原理同2.2。如原子吸收法:AxKxCxAsKsCs分别测定待测样的Ax和标样的As。因标样浓度Cs已知,待测样与标样组成相似时Kx≈Ks=K,两式相除就可以求出Cx.2)标准加入法测定原理同2.2。如原子吸收法:AxKCxCxVxCsVsAKVxVs4.库仑分析Faraday定律:;/96487QmFMnQMitMmFnn即单位:质量m为g,电量Q为库仑,时间t为s,n为电解反应中转移的电子数。注意:m/M为mol数,故(m/M)/V=mol浓度。而//mMQnF。。4即(/)QCmolLnFV5.红外分子振动方程式1/2=13072ANkkcMMσ为振动频率(用波数来表示,s-1),NA为阿伏伽德罗常数,c为光速(cm/s);k为化学键的力常数(N/cm)M为折合相对原子质量,1212MMMMM。6.核磁共振(NMR)★发生核磁共振的条件:00002;2BEBh其中△E为高能态与低能态能量差;μ为自旋核产生的磁矩;h为普朗克常数;ν0为发生共振时射电频率(进动频率、照射光的频率),单位MHz,B0磁感应强度,单位Tesla,用T表示;γ为磁旋比。★化学位移:6660101010TMSTMSTMSTMSTMSBBB试样试样试样完。。5欢迎您的下载,资料仅供参考!致力为企业和个人提供合同协议,策划案计划书,学习资料等等打造全网一站式需求

1、当您付费下载文档后,您只拥有了使用权限,并不意味着购买了版权,文档只能用于自身使用,不得用于其他商业用途(如 [转卖]进行直接盈利或[编辑后售卖]进行间接盈利)。
2、本站所有内容均由合作方或网友上传,本站不对文档的完整性、权威性及其观点立场正确性做任何保证或承诺!文档内容仅供研究参考,付费前请自行鉴别。
3、如文档内容存在违规,或者侵犯商业秘密、侵犯著作权等,请点击“违规举报”。

碎片内容

仪器分析计算公式

文库响当当+ 关注
实名认证
内容提供者

该用户很懒,什么也没介绍

确认删除?
VIP
微信客服
  • 扫码咨询
会员Q群
  • 会员专属群点击这里加入QQ群
客服邮箱
回到顶部