电脑桌面
添加小米粒文库到电脑桌面
安装后可以在桌面快捷访问

分式的混合运算课后作业VIP免费

分式的混合运算课后作业_第1页
1/1
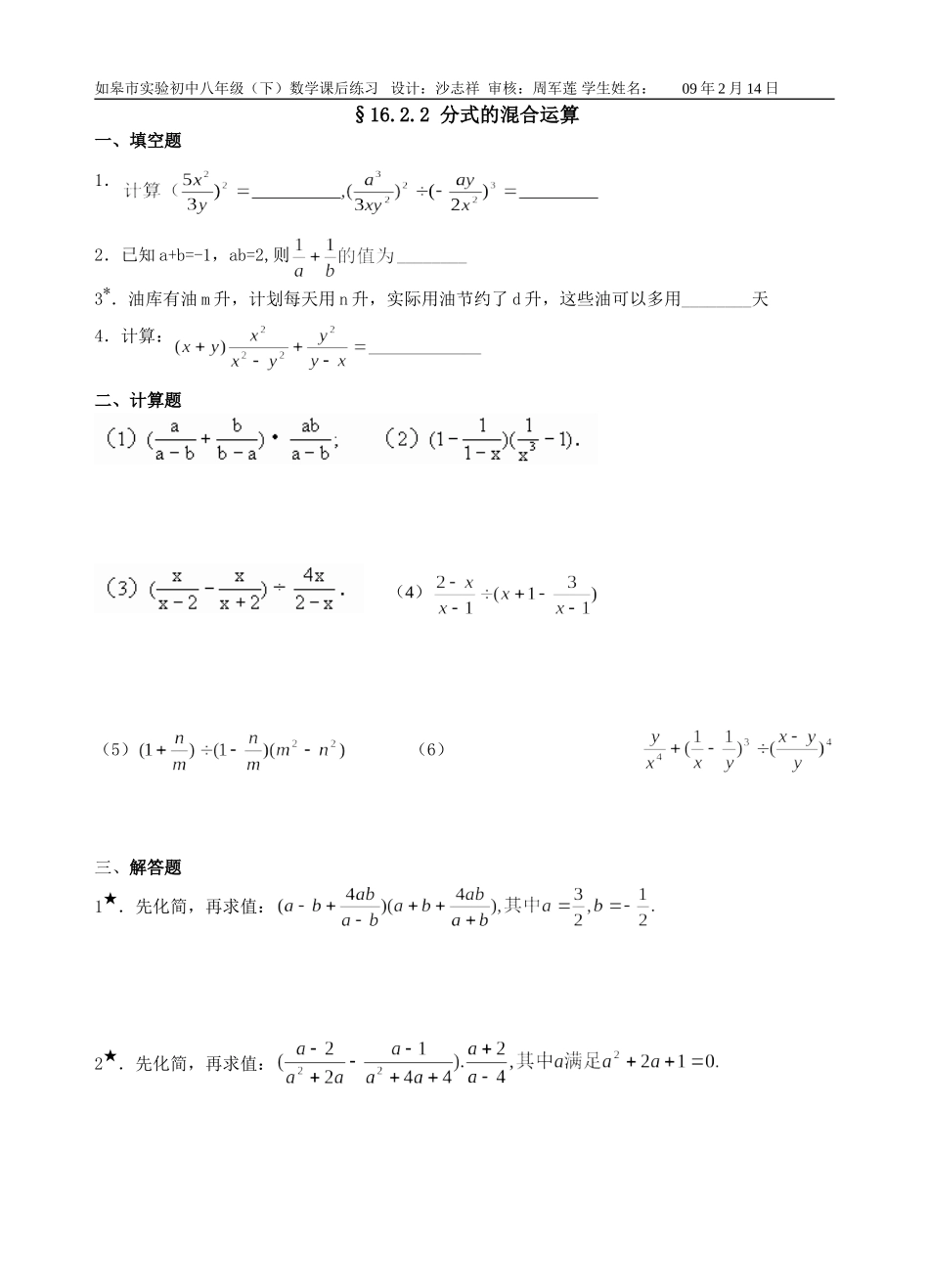
如皋市实验初中八年级(下)数学课后练习设计:沙志祥审核:周军莲学生姓名:09年2月14日§16.2.2分式的混合运算一、填空题1.2.已知a+b=-1,ab=2,则________3*.油库有油m升,计划每天用n升,实际用油节约了d升,这些油可以多用________天4.计算:二、计算题(4)(5)(6)三、解答题1★.先化简,再求值:2★.先化简,再求值:

1、当您付费下载文档后,您只拥有了使用权限,并不意味着购买了版权,文档只能用于自身使用,不得用于其他商业用途(如 [转卖]进行直接盈利或[编辑后售卖]进行间接盈利)。
2、本站所有内容均由合作方或网友上传,本站不对文档的完整性、权威性及其观点立场正确性做任何保证或承诺!文档内容仅供研究参考,付费前请自行鉴别。
3、如文档内容存在违规,或者侵犯商业秘密、侵犯著作权等,请点击“违规举报”。

碎片内容

分式的混合运算课后作业

您可能关注的文档

中小学文库+ 关注
实名认证
内容提供者

精品资料应用尽有

确认删除?
VIP
微信客服
  • 扫码咨询
会员Q群
  • 会员专属群点击这里加入QQ群
客服邮箱
回到顶部