电脑桌面
添加小米粒文库到电脑桌面
安装后可以在桌面快捷访问

宁夏银川市高三数学4月教学质量检测(一模)试卷 理(PDF)答案 宁夏银川市届高三数学4月教学质量检测(一模)试卷 理(PDF) 宁夏银川市届高三数学4月教学质量检测(一模)试卷 理(PDF)VIP免费

宁夏银川市高三数学4月教学质量检测(一模)试卷 理(PDF)答案 宁夏银川市届高三数学4月教学质量检测(一模)试卷 理(PDF) 宁夏银川市届高三数学4月教学质量检测(一模)试卷 理(PDF)_第1页
1/5
宁夏银川市高三数学4月教学质量检测(一模)试卷 理(PDF)答案 宁夏银川市届高三数学4月教学质量检测(一模)试卷 理(PDF) 宁夏银川市届高三数学4月教学质量检测(一模)试卷 理(PDF)_第2页
2/5
宁夏银川市高三数学4月教学质量检测(一模)试卷 理(PDF)答案 宁夏银川市届高三数学4月教学质量检测(一模)试卷 理(PDF) 宁夏银川市届高三数学4月教学质量检测(一模)试卷 理(PDF)_第3页
3/5
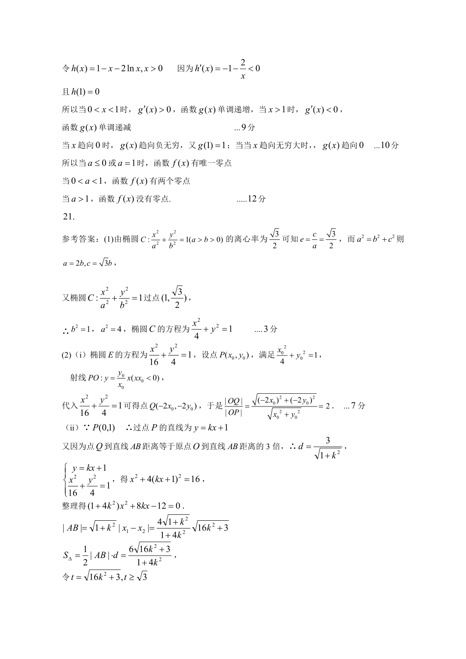
2020年银川市高三质量检测理科数学答案一、选择题答案123456789101112CCDADADBBACB二、填空题:.13103.143.1572.16xy,20191.17参考答案:(1)我认为选择模型②所得预测值更可靠。理由一:观察散点图,散点分布更接近一条直线,故选择线性回归模型②;理由二:比较3个模型的相关指数R2,模型②的相关指数R2最大且最接近1,说明该模型能更好的解释数据,模型的拟合效果更好,故选择模型②....6分(2)将t=11代入模型②中可得2025年国内游客人次预测值为91.08亿人次,结合已有数据可以看到国内游客人数逐年稳步增长,到2025年国内游客人次已是非常巨大的数字,国内游热成为越来越突出的社会热点现象。国内游热为我国社会发展贡献了经济增长点的同时也对旅游管理、环保部门等相关带来了压力,故建议:各地旅游管理部门应在开发、统筹旅游资源、创新旅游项目、统筹风景区建设、规划旅游路线、提高服务意识、提升服务水平上做好准备,建立风险评估机制及应急预案;环保部门应与旅游管理部门协调做好风景区的环境保护预案防止在风景区的开发、建设及运营过程中造成的生态破坏或环境污染.等等...12分.18参考答案:(1)取PB的中点N,连接CNNF, FN,分别是PBPA,的中点∴ABNF//且ABNF21同理NFCE//∴四边形CEFN为平行四边形∴CNEF//,EF面PBC,CN面PBC∴//EF平面PBC....5分(2)因为5AB,4PA,3PB所以PBPA又平面ABCD平面PAB,四边形ABCD是矩形,所以PABBC平面分别以BPAP,,平行于BC的直线为轴轴,轴,zyx建立空间直角坐标系则)3,0,3(),0,0,3(),0,4,0(CBA设平面APC的法向量),,(zyxn则00ACnPCn即0343033zyxzx所以)1,0,1(n平面APD的法向量)0,0,3(PB所以22|||||||,cos|cosPBnPBnPBn又因为面APC与面APD成锐二面角,∴二面角DAPC的大小为045....12分.19参考答案:(1)因为121nnSS,所以)1(211nnSS所以1nS是以211S为首项,以2为公比的等比数列∴12nnS当2n时,112nnnnSSa经检验,11a符合∴12nna....6分(2)因为数列nb为等差数列,且221ab,847ab,所以1d.∴1nbn所以2111)2)(1(111nnnnbbnn所以4211111113221nnbbbbbbTnnn...12分.20参考答案:(1)若函数)(xf在)1,0(内单调递减,则0112)(xaxxf在)1,0(内恒成立,即41)211(21)11(2122xxxa在)1,0(x恒成立所以当1a时,函数)(xf在)1,0(内单调递减...5分(2)令0)(xf,分离参数a得2lnxxxa设)0(,ln)(2xxxxxg3ln21)(xxxxg,令0,ln21)(xxxxh因为021)(xxh且0)1(h所以当10x时,0)(xg,函数)(xg单调递增,当1x时,0)(xg,函数)(xg单调递减...9分当x趋向0时,)(xg趋向负无穷,又1)1(g;当当x趋向无穷大时,,)(xg趋向0...10分所以当0a或1a时,函数)(xf有唯一零点当10a,函数)(xf有两个零点当1a,函数)(xf没有零点......12分.21参考答案:(1)由椭圆2222:1(0)xyCabab的离心率为32可知32cea,而222abc则2,3abcb,又椭圆1:2222byaxC过点)23,1(,∴21b,24a,椭圆C的方程为1422yx....3分(2)(i)椭圆E的方程为141622yx,设点00(,)Pxy,满足220014xy,射线000:(0)yPOyxxxx,代入141622yx可得点00(2,2)Qxy,于是22002200(2)(2)||2||xyOQOPxy....7分(ii) )1,0(P∴过点P的直线为1kxy又因为点Q到直线AB距离等于原点O到直线AB距离的3倍,∴213kd,1416122yxkxy,得16)1(422kxx,整理得0128)41(22kxxk.3164114||1||222212kkkxxkAB22413166||21kkdABS,令3,3162tkt所以ttttttS124124341622所以3t时,36S...12分.22选修4—4:坐标系与参数方程参考答案:(1) sin2cos22yx(为参数)∴曲线1C的普通方程为4)2(22yx,即0422xyx...2分 sin,cosyx∴0cos42...

1、当您付费下载文档后,您只拥有了使用权限,并不意味着购买了版权,文档只能用于自身使用,不得用于其他商业用途(如 [转卖]进行直接盈利或[编辑后售卖]进行间接盈利)。
2、本站所有内容均由合作方或网友上传,本站不对文档的完整性、权威性及其观点立场正确性做任何保证或承诺!文档内容仅供研究参考,付费前请自行鉴别。
3、如文档内容存在违规,或者侵犯商业秘密、侵犯著作权等,请点击“违规举报”。

碎片内容

宁夏银川市高三数学4月教学质量检测(一模)试卷 理(PDF)答案 宁夏银川市届高三数学4月教学质量检测(一模)试卷 理(PDF) 宁夏银川市届高三数学4月教学质量检测(一模)试卷 理(PDF)

星河书苑+ 关注
实名认证
内容提供者

从事历史教学,热爱教育,高度负责。

确认删除?
VIP
微信客服
  • 扫码咨询
会员Q群
  • 会员专属群点击这里加入QQ群
客服邮箱
回到顶部