电脑桌面
添加小米粒文库到电脑桌面
安装后可以在桌面快捷访问

内燃机课程设计指导书VIP免费

内燃机课程设计指导书_第1页
1/23
内燃机课程设计指导书_第2页
2/23
内燃机课程设计指导书_第3页
3/23
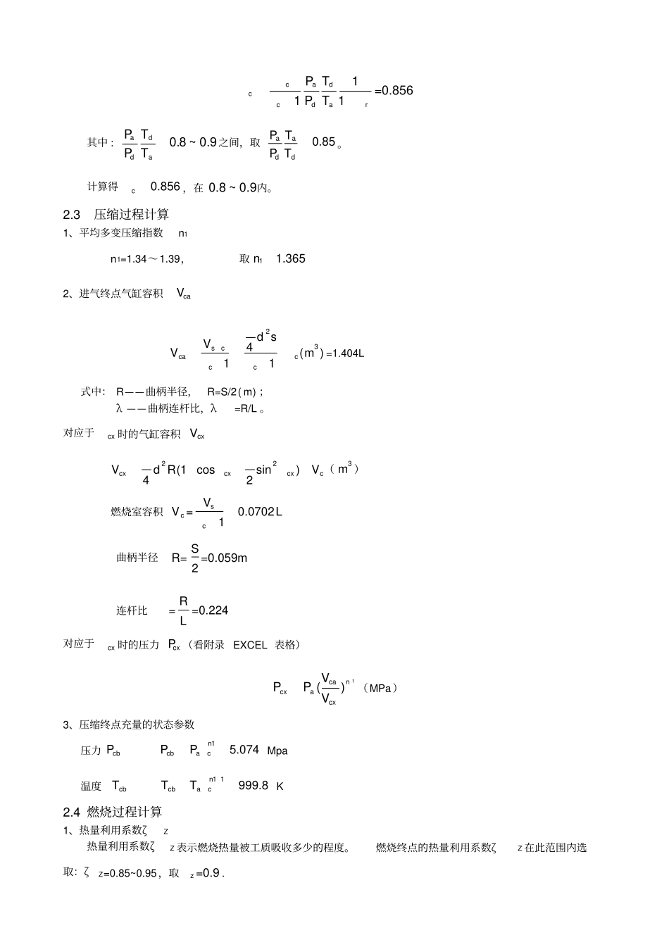
1柴油机基本参数选定1.1内燃机设计的基本要求1、功率Pe有效功率是柴油机基本性能指标。任务书已指定有效功率Pe=88kw。2、转速n一般车用柴油机转速为2000r/min~4000r/min,任务书已指定所需转速n=2800r/min。3、冲程数τ本设计中的车用柴油机都采用四冲程,即τ=44、平均有效压力Pem平均有效压力Pem表示每一工作循环中单位气缸工作容积所做的有效功,一般车用柴油机的平均有效压力为0.55Mpa~1.0Mpa,任务书已经指定平均有效压力Pem=0.71Mpa。5、有效燃油消耗率be这是柴油机最重要的经济性指标。四冲程非增压柴油机215[g/(kw·h)]~285[g/(kw·h)]。6、可靠性和寿命可靠性和寿命是车用柴油机的基本要求之一,设计时必须提出具体指标,但本课程设计从略。1.2柴油机基本参数选用由有效功率计算公式:30enViPPsem可知由于Pe、Pem、n、τ已选定,则柴油机的总排量sVi也已选定,下一步设计应选定柴油机的基本结构参数:气缸直径d、活塞行程S、缸数i及其它一些参数。1、气缸直径d气缸直径d的选取影响柴油机的尺寸和重量,还影响柴油机的机械负荷和热负荷。因为设计的是120系列柴油机,所以气缸直径d=120mm。2、活塞行程S车用柴油机的S/d=1.0~1.3,任务书规定了活塞行程S=118mm,S/d=0.9833在允许范围内。3、气缸数i及气缸排列方式由有效功率计算公式:P30emsePiVn得出4i。排列方式为直列式。4、连杆长度L与曲柄连杆比λ=R/L连杆长度加大,会使柴油机总高度增加;虽然连杆摆角减小,侧压力减小,但效果不明显;而且连杆重量加大,往复运动质量惯性力加大。因而尽量采用短连杆,一般λ值在1/3~1/5之间。因为所设计柴油机为120系列,所以连杆长l=263mm,连杆比λ=R/l=0.224,在允许范围内。5、气缸中心距l0及其与气缸直径之比l0/d因为所设计柴油机为120系列,所以所选气缸中心距0l=166mm,0/1.383ld,在1.2~1.6的允许范围内。6、压缩比εc选用压缩比εc也就是选用燃烧室容积。任务书给定车用柴油机的εc在18~23。取c=202柴油机的近似热计算柴油机工作过程热计算是对柴油机各工作过程中工质的状态参数、主要性能指标进行计算,并绘出示功图。通过热计算可以分析各工作过程的影响因素,找出提高动力性和经济性的途径,又为动力计算、结构设计提供数据。柴油机实际循环热力计算有近似热计算(简单计算法)和模拟热计算(电算法)二种。本设计要求进行近似热计算。2.1燃料燃烧热化学计算1、理论空气量L03241221.010OHcgggL(千摩尔/千克柴油)燃料采用轻柴油87.0cg,126.0Hg,004.0og计算得0L0.495(千摩尔/千克柴油)2、新鲜空气量M10a1LM(千摩尔/千克)a——过量空气系数,1.2~1.8a,取1.6a计算得1M0.742(千摩尔/千克)3、燃烧产物M2324g12oHgMM(千摩尔/千克)轻柴油低热值41860uH千焦/千克计算得2M0.774(千摩尔/千克)4、理论分子变更系数02011.043MM5、实际分子变更系数1011.043+0.045=1.04111+0.045rr其中,γr——残余废气系数,γr=0.03~0.06,取0.045r。二、换气过程计算1、排气压力(气缸内废气压力)Pr0.103~0.108()rPMpa取0.1055rPMpa2、气缸内排气温度(残余废气温度)TrTr=970~1170(K)取1070rTK3、进气终点压力Pa095.0~075.0aP(Mpa)取0.085MpaaP4、进气终点温度Ta350~320aT(K)取335KaT5、充量系数(充气效率)c1=0.85611cadccdarPTPT其中:9.0~8.0addaTTPP之间,取0.85aaddPTPT。计算得0.856c,在0.8~0.9内。2.3压缩过程计算1、平均多变压缩指数n1n1=1.34~1.39,取11.365n2、进气终点气缸容积caV234()11sccacccdsVVm=1.404L式中:R——曲柄半径,R=S/2(m);λ——曲柄连杆比,λ=R/L。对应于cx时的气缸容积cxV22(1cossin)42cxcxcxcVdRV(3m)燃烧室容积cV=0.07021scVL曲柄半径SR==0.059m2连杆比R==0.224L对应于cx时的压力cxP(看附录EXCEL表格)1)(ncxcaacxVVPP(MPa)3、压缩终点充量的状态参数压力Pcb1P5.074ncbacPMpa温度Tcb11T999.8ncbacTK2.4燃烧过程计算1、热量利用系数ζZ热量利用系数ζZ表示燃烧热量被工质吸收多少的程度。燃烧终点的热量利用系数ζZ在此范围内选取:ζZ=0.85~0.95,取=0.9z.2、燃烧最高压力PZ按结构强度及寿命要求选取,本设计中ZP5~9Mpa,取8zPMp...

1、当您付费下载文档后,您只拥有了使用权限,并不意味着购买了版权,文档只能用于自身使用,不得用于其他商业用途(如 [转卖]进行直接盈利或[编辑后售卖]进行间接盈利)。
2、本站所有内容均由合作方或网友上传,本站不对文档的完整性、权威性及其观点立场正确性做任何保证或承诺!文档内容仅供研究参考,付费前请自行鉴别。
3、如文档内容存在违规,或者侵犯商业秘密、侵犯著作权等,请点击“违规举报”。

碎片内容

内燃机课程设计指导书

您可能关注的文档

确认删除?
VIP
微信客服
  • 扫码咨询
会员Q群
  • 会员专属群点击这里加入QQ群
客服邮箱
回到顶部