电脑桌面
添加小米粒文库到电脑桌面
安装后可以在桌面快捷访问

信息工程学院课程耗材清单VIP免费

信息工程学院课程耗材清单_第1页
1/15
信息工程学院课程耗材清单_第2页
2/15
信息工程学院课程耗材清单_第3页
3/15
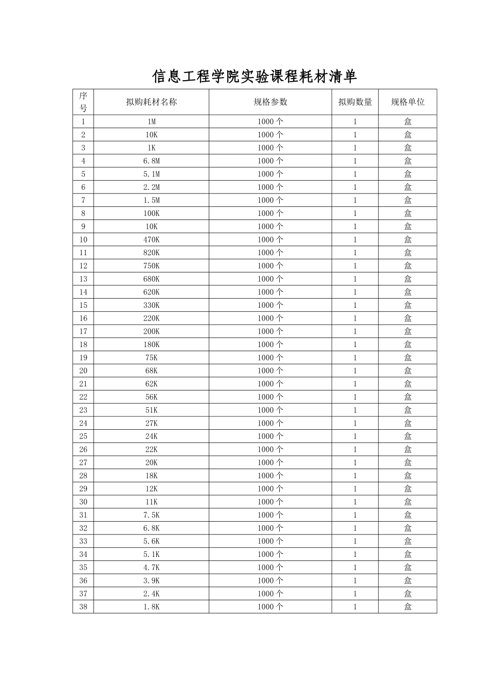
信息工程学院实验课程耗材清单序号拟购耗材名称规格参数拟购数量规格单位11M1000个1盒210K1000个1盒31K1000个1盒46.8M1000个1盒55.1M1000个1盒62.2M1000个1盒71.5M1000个1盒8100K1000个1盒910K1000个1盒10470K1000个1盒11820K1000个1盒12750K1000个1盒13680K1000个1盒14620K1000个1盒15330K1000个1盒16220K1000个1盒17200K1000个1盒18180K1000个1盒1975K1000个1盒2068K1000个1盒2162K1000个1盒2256K1000个1盒2351K1000个1盒2427K1000个1盒2524K1000个1盒2622K1000个1盒2720K1000个1盒2818K1000个1盒2912K1000个1盒3011K1000个1盒317.5K1000个1盒326.8K1000个1盒335.6K1000个1盒345.1K1000个1盒354.7K1000个1盒363.9K1000个1盒372.4K1000个1盒381.8K1000个1盒391.5K1000个1盒401.2K1000个1盒411k1000个1盒424701000个1盒432001000个1盒441501000个1盒451001000个1盒46101000个1盒4711000个1盒482200uf/35V500个491000uf/35V500个50680uf/35v500个51680uf/35v500个52560uf/35v500个53470uf/35v500个54330uf/35v500个55220uf/35v500个56150uf/35v500个57100uf/35v500个5868uf/35v500个5956uf/35v500个6056uf/35v500个6147uf/35v500个6233uf/35v500个6322uf/35v500个6415uf/35v500个6510uf/35v500个666.8uf/50v500个675.6uf/50v500个685.6uf/50v500个694.7uf/50v500个703.3uf/35v500个712.2uf/35v500个721.5uf/35v500个731.5uf/35v500个741uf/50v500个750.47uf500个760.1uf500个770.01uf500个78473pf5包79393pf5包80392pf5包81333pf5包82272pf5包83184pf5包84183pf5包85181pf5包86154pf5包87124pf5包88123pf5包89122pf5包90121pf5包9130pf200个9218pf5包9315pf5包9412pf5包954.7pf5包963.9pf5包973.3pf5包982.7pf5包991.8pf5包100晶振32.768KHZ80个101晶振1M50个102晶振2M50个103晶振10M50个104晶振11.0592M180个105晶振12M130个106晶振20M50个107晶振24M50个108三极管8550(PNP)180个109三极管9014100个110三极管9018100个111二极管IN4148200个112二极管IN4007400个113二极管IN5819100个114二极管IN5822100个115发光二极管白光φ3mm200个116发光二极管红光φ3mm200个117电位器1K50个118电位器2K50个119电位器10K100个120电位器20K100个121电位器50K100个122散热片电子散热块40*40*11mm40个123集成块管座DIP-880个124集成块管座DIP-14100个125集成块管座DIP-1650个126集成块管座DIP-2050个127集成块管座DIP-40100个128蜂鸣器5v100个129排针2.54mm间距1*40pin180排130排母2.54mm间距1*40pin180排131自锁按钮开关5mm*5mm100个132自锁按钮开关3mm*3mm100个133杜邦线20cm,带母头40排134数码管4位40个135数码管2位36个136128648个137红外对管50个138LM780550个139LM790550个140LM780950个141LM790950个142LM781250个143LM791250个144LM781550个145LM791550个146A/DPCF859120个147AD62020个148ULN200320个149STC12C5A60S230个150L298N50个151NRF24L012.4G无线收发模块10个152角度传感器15个153智能小车支架底盘/寻迹/避障/遥控/测速竞赛机器人小车10套154四轴飞机支架700mm轴距机架(铝支撑架)8套155转印纸A45100张/包156覆铜板10*15cm500块158水晶头五类300个159网络钳20把160网络测试仪20个161网络线五类3箱162层叠电池9V10盒163USB鼠标光电30个164USB键盘30个165串口线9针串口线30根166并行线USB转并行30根167miniusb数据线50根1688芯多模光纤100米1698芯单模光纤50米170FC-FC单模光跳线15根171ST-FC单模光跳线10根172ST-FC多模光跳线10根173ST-ST单模光跳线10根174ST光纤连接器10个175FC光纤连接器10个176ST光纤适配器10个177FC光纤适配器10个178可变衰减器10个179PCB板15*20cm100块180万用板10*15cm50块181转印纸A35100张/包182STC89C52芯片100个18340脚IC座100个184温度传感器DS18B2040个185人体红外传感器HC-SR50140个186数字多功能表万用表数显式20个187电烙铁60W内热式恒温电烙铁50把188锡条0.8mm10捆189排针双排200条190排母双排200条191晶振11.0592M1010只/包192独立按键1020只/包193六脚开关100194排阻1031010只/包195FC50P排线FC-2.54mm90米196DC转FC压线头50个197FC压线头100个1...

1、当您付费下载文档后,您只拥有了使用权限,并不意味着购买了版权,文档只能用于自身使用,不得用于其他商业用途(如 [转卖]进行直接盈利或[编辑后售卖]进行间接盈利)。
2、本站所有内容均由合作方或网友上传,本站不对文档的完整性、权威性及其观点立场正确性做任何保证或承诺!文档内容仅供研究参考,付费前请自行鉴别。
3、如文档内容存在违规,或者侵犯商业秘密、侵犯著作权等,请点击“违规举报”。

碎片内容

信息工程学院课程耗材清单

确认删除?
VIP
微信客服
  • 扫码咨询
会员Q群
  • 会员专属群点击这里加入QQ群
客服邮箱
回到顶部