电脑桌面
添加小米粒文库到电脑桌面
安装后可以在桌面快捷访问

《分数乘法》同步练习11VIP免费

《分数乘法》同步练习11_第1页
1/3
《分数乘法》同步练习11_第2页
2/3
《分数乘法》同步练习11_第3页
3/3
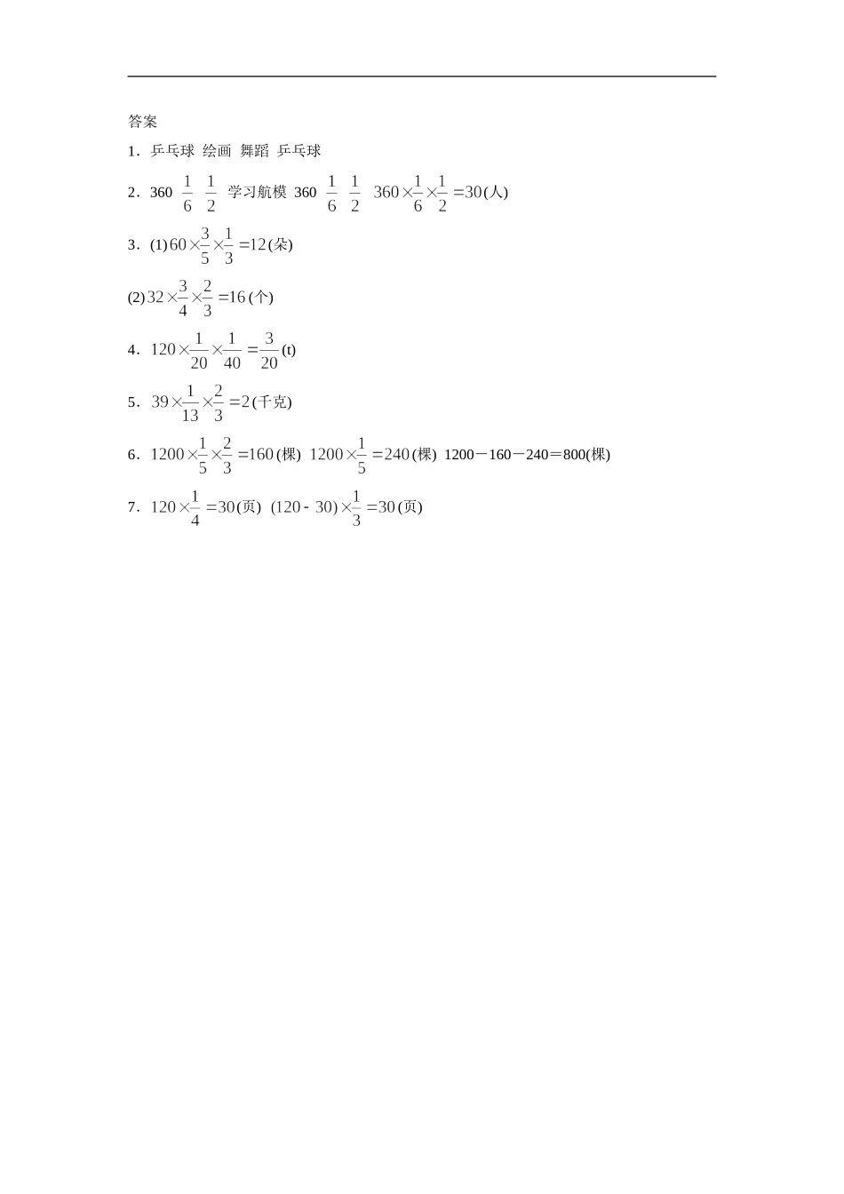
《分数乘法》同步练习第 8 课时 连续求一个数的几分之几1.根据下面的关键句写出数量关系式。参加绘画小组的人数是参加乒乓球小组人数的,参加乒乓球小组的人数是参加舞蹈小组人数的。参加( )小组的人数参加( )小组的人数参加( )小组的人数参加( )小组的人数2.填一填。光明小学六年级共有学生 360 人,其中的学生参加科技兴趣小组,科技兴趣小组中有一半的学生学习航模。学习航模的有多少人?六年级学生的总人数是( )。参加科技兴趣小组的人数占总人数的( )。学习航模的人数占科技兴趣小组人数的( )。要求的是( )的人数。列式并计算:( )3.看图列式计算。(1)(2)4.蓝鲸是世界上最大的哺乳动物,大象是陆地上最大的哺乳动物,鸵鸟是世界上最大的鸟。蓝鲸:“我的体重是 120t。”大象:“我的体重是蓝鲸的。”鸵鸟:“我的体重是大象的。”鸵鸟的体重是多少吨?5.人体血液的质量占体重的,血液里的是水。小明的体重是 39 千克,他的血液里大约含水多少千克?6.王大伯的果园里共种植果树 1200 棵,其中橘树占,桃树是橘树的,剩下的全是苹果树。苹果树有多少棵?7.王丽看一本 120 页的故事书,第一天看了全书的,第二天看了余下的,第二天看了多少页?答案1.乒乓球 绘画 舞蹈 乒乓球2.360 学习航模 360 (人)3.(1)(朵)(2)(个)4.(t)5.(千克)6.(棵) (棵) 1200-160-240=800(棵)7.(页) (页)

1、当您付费下载文档后,您只拥有了使用权限,并不意味着购买了版权,文档只能用于自身使用,不得用于其他商业用途(如 [转卖]进行直接盈利或[编辑后售卖]进行间接盈利)。
2、本站所有内容均由合作方或网友上传,本站不对文档的完整性、权威性及其观点立场正确性做任何保证或承诺!文档内容仅供研究参考,付费前请自行鉴别。
3、如文档内容存在违规,或者侵犯商业秘密、侵犯著作权等,请点击“违规举报”。

碎片内容

《分数乘法》同步练习11

您可能关注的文档

确认删除?
VIP
微信客服
  • 扫码咨询
会员Q群
  • 会员专属群点击这里加入QQ群
客服邮箱
回到顶部