电脑桌面
添加小米粒文库到电脑桌面
安装后可以在桌面快捷访问

华师大版九年级数学上册二次根式测试题VIP免费

华师大版九年级数学上册二次根式测试题_第1页
1/6
华师大版九年级数学上册二次根式测试题_第2页
2/6
华师大版九年级数学上册二次根式测试题_第3页
3/6
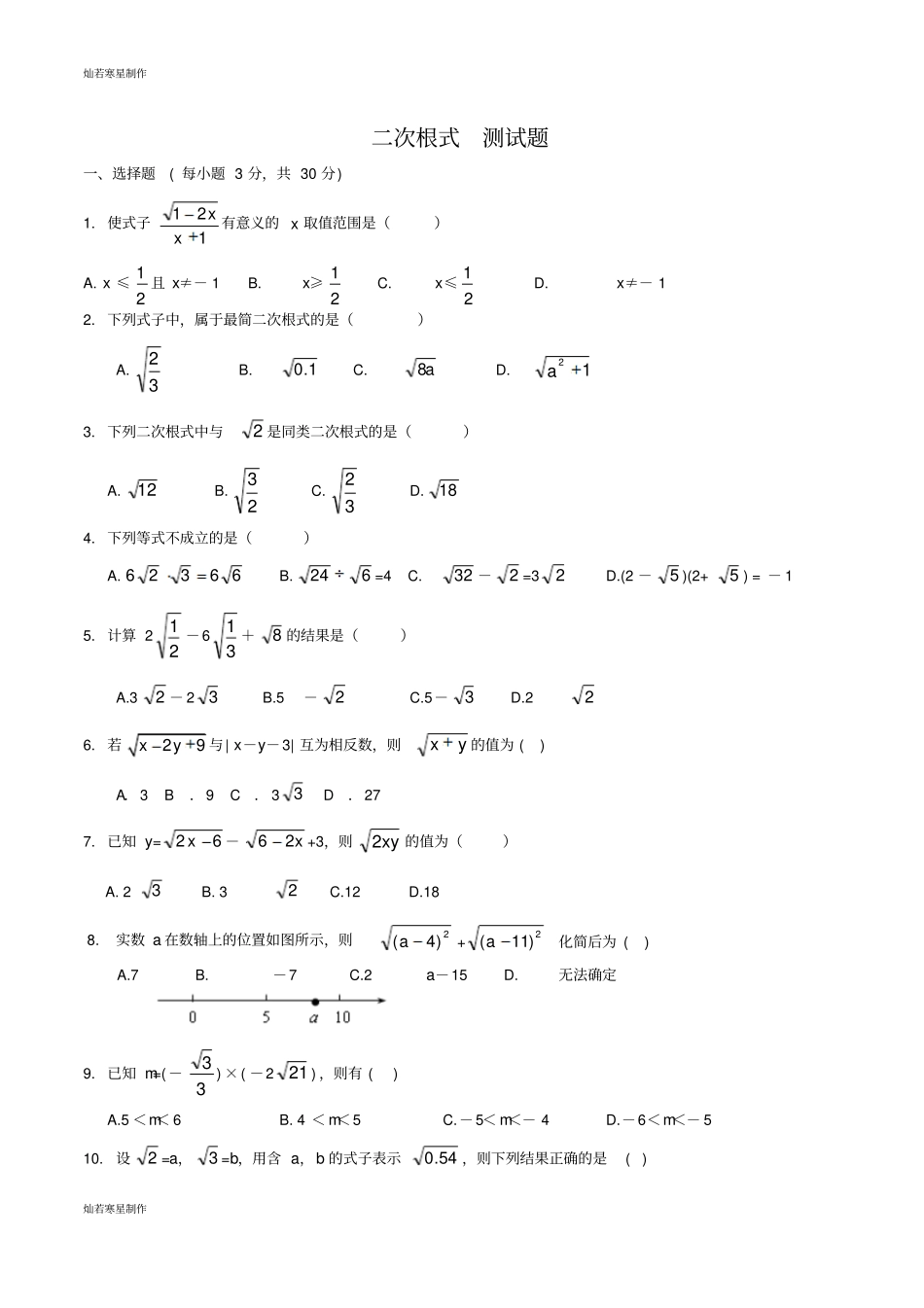
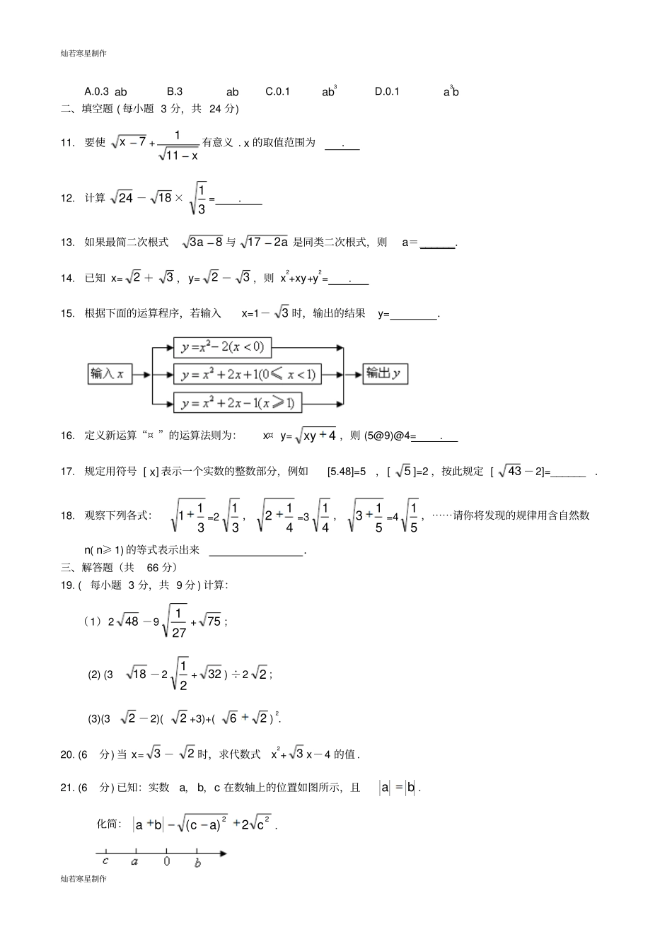
灿若寒星制作灿若寒星制作二次根式测试题一、选择题 ( 每小题 3 分,共 30 分) 1. 使式子121xx 有意义的 x 取值范围是()A. x ≤21 且 x≠- 1 B. x≥21 C. x≤21 D. x≠- 1 2. 下列式子中,属于最简二次根式的是()A.32 B.1.0 C.a8 D.12a3. 下列二次根式中与2 是同类二次根式的是()A.12B.23C.32D.184. 下列等式不成立的是()A.66326B.624=4 C.32 -2 =32D.(2 -5 )(2+5 ) = - 1 5. 计算 221 -631 +8 的结果是()A.32 - 23 B.5-2C.5-3 D.226. 若29xy与| x-y-3| 互为相反数,则yx的值为 ( ) A.3 B.9 C. 33 D.27 7. 已知 y=62x-x26+3,则xy2的值为()A. 23 B. 32 C.12 D.18 8. 实数 a 在数轴上的位置如图所示,则2)4(a+2)11(a化简后为 ( ) A.7 B.-7 C.2a-15 D.无法确定9. 已知 m=(-33 ) ×( -221 ) ,则有 ( ) A.5 <m< 6 B. 4 < m<5 C.-5< m<- 4 D.-6<m<- 5 10. 设2 =a,3 =b,用含 a,b 的式子表示54.0,则下列结果正确的是( ) 灿若寒星制作灿若寒星制作A.0.3 ab B.3ab C.0.1ab3 D.0.1a3b二、填空题 ( 每小题 3 分,共 24 分) 11. 要使7x+x111有意义 . x 的取值范围为 . 12. 计算24 -18 ×31 = . 13. 如果最简二次根式83a与a217是同类二次根式,则a=______.14. 已知 x=2 +3 ,y=2 -3 ,则 x2+xy+y2= . 15. 根据下面的运算程序,若输入x=1-3 时,输出的结果y= .16. 定义新运算“¤ ”的运算法则为:x¤ y=4xy,则 (5@9)@4= . 17. 规定用符号 [ x] 表示一个实数的整数部分,例如[5.48]=5,[5 ]=2 ,按此规定 [43 -2]=______ .18. 观察下列各式:311=231 ,412=341 ,513=451 ,⋯⋯请你将发现的规律用含自然数n( n≥ 1) 的等式表示出来.三、解答题(共66 分)19. ( 每小题 3 分,共 9 分 ) 计算:(1)248 -9271 +75 ;(2) (318 -221 +32 ) ÷22 ;(3)(32 -2)(2 +3)+(26)2. 20. (6分) 当 x=3 -2 时,求代数式x2+3 x-4 的值 . 21. (6分) 已知:实数a, b,c 在数轴上的位置如图所示,且ba. 化简:222)(cacba. 灿若寒星制作灿若寒星制作22. (7分) 先化简,再求值:2222abbaba÷1222abba,其中 a=3+5 ,b=3-5 . 23. (7 分)如图,某学校计划在校园内修建一个正方形的花坛,...

1、当您付费下载文档后,您只拥有了使用权限,并不意味着购买了版权,文档只能用于自身使用,不得用于其他商业用途(如 [转卖]进行直接盈利或[编辑后售卖]进行间接盈利)。
2、本站所有内容均由合作方或网友上传,本站不对文档的完整性、权威性及其观点立场正确性做任何保证或承诺!文档内容仅供研究参考,付费前请自行鉴别。
3、如文档内容存在违规,或者侵犯商业秘密、侵犯著作权等,请点击“违规举报”。

碎片内容

华师大版九年级数学上册二次根式测试题

您可能关注的文档

文库响当当+ 关注
实名认证
内容提供者

该用户很懒,什么也没介绍

确认删除?
VIP
微信客服
  • 扫码咨询
会员Q群
  • 会员专属群点击这里加入QQ群
客服邮箱
回到顶部