电脑桌面
添加小米粒文库到电脑桌面
安装后可以在桌面快捷访问

八年级数学平方差公式课件3 新课标 人教版 课件VIP免费

八年级数学平方差公式课件3 新课标 人教版 课件八年级数学平方差公式课件3 新课标 人教版 课件八年级数学平方差公式课件3 新课标 人教版 课件八年级数学平方差公式课件3 新课标 人教版 课件
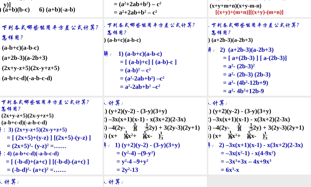
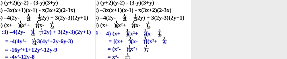
乘法公式:(x+a)(x+b)= x2+(a+b)x+ab(a+b)(a-b) —— 平方差公式1. 当 a=-b 时=a2+[b+(-b)]-b2=a2 -b2 平方差公式 :(a+b)(a-b)=a2-b2两个数的和与这两个数的差的积等于这两个数的平方差语言描述 : 例 1. 下列多项式相乘,哪些可用平方差 公式?怎样用公式计算? 1) (a+b)(-b+a) 2) (ab+1)(-ab+1) 3) (-2xy+z)(-2xy-z) 4) (a2-3bc)(3bc+a2) 5) (a+b)(b-c) 6) (a+b)(-a-b)=(a+b)(a-b)=(1+ab)(1-ab)=(z-2xy)[-(z+2xy)] 2.(a+b+c)(a+b-c), 是否可用平方差公式计 算?怎样应用公式计算?解: (a+b+c) (a+b-c) = [(a+b)+c] [(a+b)-c] = (a+b)2 - c2 = (a+b) (a+b) – c2 = (a2+ab+ab+b2) – c2 = (a2+2ab+b2) – c2 = a2+2ab+b2 – c2 3. 将下列各式变形为可利用平方差公式 计算的形式:1) (a+2b+3)(a+2b-3) 2) (a+2b-3)(a-2b+3)3) (a-2b+3)(a-2b-3)4) (a-2b-3)(a+2b-3)5) (3a-5b-2c)(-3a-5b+2c)6) (x+y+m+n)(x+y-m-n)[(a+2b)+3][(a+2b)-3][a+(2b-3)] [a-(2b-3)][(a-2b)+3] [(a-2b)-3][(a-3)-2b] [(a-3)+2b][(-5b)+(3a-2c)] [(-5b)-(3a-2c)][(x+y)+(m+n)][(x+y)-(m+n)] 4. 下列各式哪些能用平方差公式计算? 怎样用?1) (a-b+c)(a-b-c) 2) (a+2b-3)(a-2b+3)3) (2x+y-z+5)(2x-y+z+5)4) (a-b+c-d)(-a-b-c-d) 4. 下列各式哪些能用平方差公式计算? 怎样用?1) (a-b+c)(a-b-c) 解: 1) (a-b+c)(a-b-c) = [ (a-b)+c] [ (a-b)-c ] = (a-b)2 – c2 = (a2-2ab+b2) –c2 = a2-2ab+b2 –c2 4. 下列各式哪些能用平方差公式计算? 怎样用?2) (a+2b-3)(a-2b+3)解: 2) (a+2b-3)(a-2b+3) = [ a+(2b-3) ] [ a-(2b-3)] = a2- (2b-3)2 = a2- (2b-3) (2b-3) = a2- (4b2-12b+9) = a2- 4b2+12b-9 4. 下列各式哪些能用平方差公式计算? 怎样用?3) (2x+y-z+5)(2x-y+z+5)4) (a-b+c-d)(-a-b-c-d)解 : 3) (2x+y-z+5)(2x-y+z+5) = [ (2x+5)+(y-z) ] [(2x+5)-(y-z) ] = (2x+5)2- (y-z)2 =……解 : 4) (a-b+c-d)(-a-b-c-d) = [ (-b-d)+(a+c) ] [(-b-d)-(a+c) ] = (-b-d)2- (a+c)2 =…… 5. 计算:1) (y+2)(y-2) - (3-y)(3+y)2) –3x(x+1)(x-1) - x(3x+2)(2-3x)3) –4(2y- )( +2y) + 3(2y-3)(2y+1)4) (x+ )(x2+ )(x- )解: 1) (y+2)(y-2) - (3-y)(3+y) = (y2-4) –(9-y2) = y2-4 –9+y2 = 2y2-132121313191 5. 计算:1) (y+2)(y-2) - (3-y)(3+y)2) –3x(x+1)(x-1) - x(3x+2)(2-3x)3) –4(2y- )( +2y) + 3(2y-3)(2y+1)4) (x+ )(x2+ )(x- )解: 2) –3x(x+1)(x-1) - x(3x+2)(2-3x) = –3x(x2-1) - x(4-9x2) = –3x3+3x – 4x+9x3 = 6x3-x2121313191 5. 计算:1) (y+2)(y-2) - (3-y)(3+y)2) –3x(x+1)(x-1) - x(3x+2)(2-3x)3) –4(2y- )( +2y) + 3(2y-3)(2y+1)4) (x+ )(x2+ )(x- )2121313191= -16y2+1+12y2-12y-9= -4y2-12y-8解 :3) –4(2y- )( +2y) + 3(2y-3)(2y+1)2121= -4(4y2- )+3(4y2+2y-6y-3)41 5. 计算:1) (y+2)(y-2) - (3-y)(3+y)2) –3x(x+1)(x-1) - x(3x+2)(2-3x)3) –4(2y- )( +2y) + 3(2y-3)(2y+1)4) (x+ )(x2+ )(x- )2121313191解: 4) (x+ )(x2+ )(x- )313191= [(x+ )(x- )](x2+ )313191= (x2- )(x2+ )9191= x4-811

1、当您付费下载文档后,您只拥有了使用权限,并不意味着购买了版权,文档只能用于自身使用,不得用于其他商业用途(如 [转卖]进行直接盈利或[编辑后售卖]进行间接盈利)。
2、本站所有内容均由合作方或网友上传,本站不对文档的完整性、权威性及其观点立场正确性做任何保证或承诺!文档内容仅供研究参考,付费前请自行鉴别。
3、如文档内容存在违规,或者侵犯商业秘密、侵犯著作权等,请点击“违规举报”。

碎片内容

八年级数学平方差公式课件3 新课标 人教版 课件

您可能关注的文档

远洋启航书店+ 关注
实名认证
内容提供者

从事历史教学,热爱教育,高度负责。

相关文档

确认删除?
VIP
微信客服
  • 扫码咨询
会员Q群
  • 会员专属群点击这里加入QQ群
客服邮箱
回到顶部