电脑桌面
添加小米粒文库到电脑桌面
安装后可以在桌面快捷访问

数学 3.2第3课时空间向量与空间角精品课件同步导学 新人教A版选修2-1 课件VIP免费

数学 3.2第3课时空间向量与空间角精品课件同步导学 新人教A版选修2-1 课件数学 3.2第3课时空间向量与空间角精品课件同步导学 新人教A版选修2-1 课件数学 3.2第3课时空间向量与空间角精品课件同步导学 新人教A版选修2-1 课件数学 3.2第3课时空间向量与空间角精品课件同步导学 新人教A版选修2-1 课件数学 3.2第3课时空间向量与空间角精品课件同步导学 新人教A版选修2-1 课件
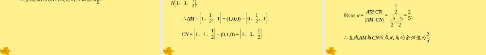
•第 3 课时 空间向量与空间角•1 .理解直线与平面所成角的概念.•2 .能够利用向量方法解决线线、线面、面面的夹角求法问题.•3 .体会空间向量解决立体几何问题的三步曲 . •1 .向量法求解线线、线面、面面的夹角. ( 重点 )•2 .线线、线面、面面的夹角与向量的应用. ( 难点 ) •1. 山体滑坡是一种常见的自然灾害.甲、乙两名科技人员为了测量一个山体的倾斜程度,甲站在水平地面上的 A 处,乙站在山坡斜面上的 B 处,从 A 、 B 两点到直线 l( 水平地面与山坡的交线 ) 的距离 AC 和 BD 分别为 30 m 和 40 m , CD的长为 60 m , AB 的长为 80 m.•水平地面与山坡斜面所成二面角的 余弦值是多少?•2 .空间角角的分类定义范围异面直线所成的角设 a , b 是两条异面直线,过空间任一点 O 作 a′∥a , b′∥b ,则 a′ 与 b′ 所夹的锐角或直角叫做 a 与b 所成的角 .(0° , 90°]直线与平面所成的角直线与它在这个平面内的射影所成的角 .[0° , 90°]二面角的平面角以二面角的棱上任意一点为端点,在两个面内分别作垂直于棱的两条射线,这两条射线所成的角叫做二面角的平面角 .[0° , 180°]•空间角的向量求法 角的分类 向量求法 图形 异面直线所成的角 设两异面直线所成的角为θ,它们的方向向量为a,b, 则cos θ=|cos〈a·b〉|=|a·b||a||b| 直线与平面所成的角 设直线l与平面α所成的角为θ,l的方向向量为a,平面α的法向量为n,则sin φ= |cos〈a,n〉|=|a·n||a||n| 角的分类 向量求法 图形 若 AB、CD 分别是二面角 α-l-β 的两个面内与棱 l 垂直的异面直线(垂足分别为 A、C),则二面角的大小就是AB→与CD→ 的夹角cos θ=cos〈AB→,CD→ 〉= AB→·CD→|AB→|·|CD→ | 二面角 设二面角 α-l-β 的平面角为 θ,平面 α、β 的法向量为 n1,n2,则|cos θ|=|cos〈n1,n2〉| = |n1·n2||n1|·|n2| •1 .若直线 l 的方向向量与平面 α 的法向量的夹角等于 120° ,则直线 l 与平面 α 所成的角等于 ( )•A . 120° B . 60°•C . 30° D .以上均错•答案: C•2 .设 ABCD , ABEF 都是边长为 1 的正方形, FA⊥ 面ABCD ,则异面直线 AC 与 BF 所成角等于 ( )•A . 45° B . 30°•C . 90° D . 60°•解析: 建立如图所示的空...

1、当您付费下载文档后,您只拥有了使用权限,并不意味着购买了版权,文档只能用于自身使用,不得用于其他商业用途(如 [转卖]进行直接盈利或[编辑后售卖]进行间接盈利)。
2、本站所有内容均由合作方或网友上传,本站不对文档的完整性、权威性及其观点立场正确性做任何保证或承诺!文档内容仅供研究参考,付费前请自行鉴别。
3、如文档内容存在违规,或者侵犯商业秘密、侵犯著作权等,请点击“违规举报”。

碎片内容

数学 3.2第3课时空间向量与空间角精品课件同步导学 新人教A版选修2-1 课件

您可能关注的文档

一米阳光+ 关注
实名认证
内容提供者

爱好英语教学和互联网行业,热爱教育事业,兢兢业业

相关文档

确认删除?
VIP
微信客服
  • 扫码咨询
会员Q群
  • 会员专属群点击这里加入QQ群
客服邮箱
回到顶部