电脑桌面
添加小米粒文库到电脑桌面
安装后可以在桌面快捷访问

八年级数学二次根式的加减法课件2鲁教版 课件VIP免费

八年级数学二次根式的加减法课件2鲁教版 课件八年级数学二次根式的加减法课件2鲁教版 课件八年级数学二次根式的加减法课件2鲁教版 课件
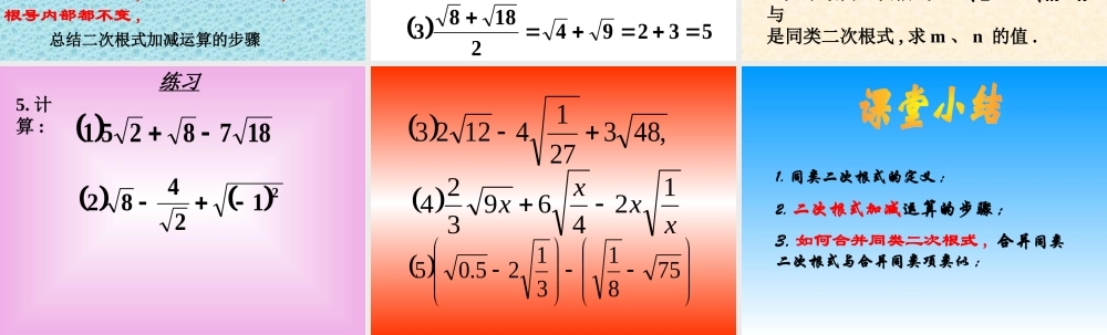
(1) 两列火车分别运煤 2x 吨和 3x 吨 , 问这两列火车共运多少? _______________2x +3x=5x( 吨 )(2) 两列火车分别运煤 2x 吨和 3y 吨 , 问这两列火车共运多少? _______________(2x +3y) 吨 24231 241883以下问题你能用同样的方法计算吗? 252运用以前所学知识进行总结 (1) 如果几个二次根式的被开方数相同,那么可以直接根据分配律进行加减运算; (2) 如果所给的二次根式不是最简二次根式,应该先化简,再考虑进行加减运算。 二次根式的加减法 几个二次根式化成最简二次根式后,如果被开方数相同,这几个二次根式就叫做同类二次根式 . 要进行二次根式加减运算 , 它们具备什么特征才能进行合并(1) 说出 的三个同类二次根式 ;(2) 试举出一组同类二次根式 .52(3) 下列各式中哪些是同类二次根式 ?332268323271501752,bab,ab,,,,,同类二次根式 如何合并同类二次根式 与合并同类项类似 , 把同类二次根式的系数相加减 , 做为结果的系数 , 根号及根号内部都不变 ,29243224232224188总结二次根式加减运算的步骤 二次根式加减运算的步骤 :(1) 把各个二次根式化成最简二次根式(2) 把各个同类二次根式合并 .注意 : 不是同类二次根式的二次根式( 如 与 ) 不能合并231. 判断 : 下列计算是否正确 ? 为什么 ?  ;;222225321 5329421883练习 2. 在下列各组根式中,是同类二次根式的是( )A . B . C. D.3. 与 是同类二次根式的是 ( )A. B. C. D.122,212 ,24ab,ab11a,a1227162432754. 如果最简二次根式 与 是同类二次根式 , 求 m 、 n 的值 .2 2nmnm  练习5. 计算 : 1878251 212482  ,48327141223 xxxx12469324 75813125.05 1. 同类二次根式的定义 ;2. 二次根式加减运算的步骤 ;3. 如何合并同类二次根式 , 合并同类二次根式与合并同类项类似 ;

1、当您付费下载文档后,您只拥有了使用权限,并不意味着购买了版权,文档只能用于自身使用,不得用于其他商业用途(如 [转卖]进行直接盈利或[编辑后售卖]进行间接盈利)。
2、本站所有内容均由合作方或网友上传,本站不对文档的完整性、权威性及其观点立场正确性做任何保证或承诺!文档内容仅供研究参考,付费前请自行鉴别。
3、如文档内容存在违规,或者侵犯商业秘密、侵犯著作权等,请点击“违规举报”。

碎片内容

八年级数学二次根式的加减法课件2鲁教版 课件

您可能关注的文档

一米阳光+ 关注
实名认证
内容提供者

爱好英语教学和互联网行业,热爱教育事业,兢兢业业

相关文档

确认删除?
VIP
微信客服
  • 扫码咨询
会员Q群
  • 会员专属群点击这里加入QQ群
客服邮箱
回到顶部