电脑桌面
添加小米粒文库到电脑桌面
安装后可以在桌面快捷访问

八年级数学第十四章1422乘法公式(完全平方公式)_课件VIP免费

八年级数学第十四章1422乘法公式(完全平方公式)_课件八年级数学第十四章1422乘法公式(完全平方公式)_课件八年级数学第十四章1422乘法公式(完全平方公式)_课件八年级数学第十四章1422乘法公式(完全平方公式)_课件八年级数学第十四章1422乘法公式(完全平方公式)_课件
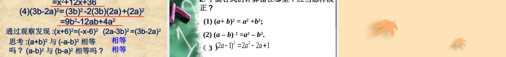
14.2.214.2.2 完全平方公式完全平方公式乘法公式公式的结构特征公式的结构特征 ::左边是左边是aa2 2 −− bb22;; 两个二项式的乘积两个二项式的乘积 ,,应用平方差公式的注意事项应用平方差公式的注意事项 :: 对于一般两个二项式的积对于一般两个二项式的积 , , 看准有无相等的看准有无相等的““项项””和符和符号相反的号相反的““项项”” ;; 仅当把两个二项式的积变成公式标准形式仅当把两个二项式的积变成公式标准形式后,才能使用平方差公式。 后,才能使用平方差公式。 回顾 回顾 && 思思考考☞☞((aa++bb)()(aa−−bb))==即即两个数的和与这两个数的差的积两个数的和与这两个数的差的积 ..右边是右边是 两个数的平方差两个数的平方差 ..☾☾ 弄清在什么情况下才能使用平方差公式弄清在什么情况下才能使用平方差公式 :: 在解题过程中要准确确定在解题过程中要准确确定 aa 和和 bb 、对照公式原形的两、对照公式原形的两边边 , , 做到不弄错符号、做到不弄错符号、当当 aa 或或 bb 是整式,计算时是整式,计算时 要注意添括要注意添括号号 ,, 是运用平方差公式进行多项式乘法的关键。是运用平方差公式进行多项式乘法的关键。平方差公式平方差公式 用一个多项式的每一项乘以用一个多项式的每一项乘以另一个多项式的每一项,再把所得的另一个多项式的每一项,再把所得的积相加积相加 ..3 、多项式的乘法法则是什么? am+anbm+bn+=(m+n)(a+b)4 、探究计算下列各式 , 你能发现什么规律 ?(1) (p+1)2 = (p+1) (p+1) = ______(2) (m+2)2= _________;(3)(p-1)2 = (p-1 ) (p-1) = ________;(4) (m-2)2 = __________.P2+2p+1m2+4m+4P2-2p+1m2-4m+4我们来计算 (a+b)2, (a-b)2.(a+b)2=(a+b) (a+b) = a2+ab+ab+b2=a2+2ab+b2.(a-b)2 = (a-b) (a-b) = a2-ab-ab+b2=a2-2ab+b2 .14.2.214.2.2 完全平方公式完全平方公式完全平方公式的数学表达式:(a+b)(a+b)22= a= a22 +2ab+b +2ab+b22(a(a--b)b)22= a= a22 -- 2ab+b 2ab+b22完全平方公式的文字叙述: 两个数的和(或差)的平方,等于两个数的和(或差)的平方,等于它们的平方和,加上(或减去)它们它们的平方和,加上(或减去)它们的积的的积的 22 倍。倍。(a+b)(a+b)22= a= a22 +2ab+b +2ab+b22(a(a--b)b)22= a= a22 -- 2ab+b 2ab+b22公式特点:2 、积为二次三项式;3 、积中两项为两数的平方...

1、当您付费下载文档后,您只拥有了使用权限,并不意味着购买了版权,文档只能用于自身使用,不得用于其他商业用途(如 [转卖]进行直接盈利或[编辑后售卖]进行间接盈利)。
2、本站所有内容均由合作方或网友上传,本站不对文档的完整性、权威性及其观点立场正确性做任何保证或承诺!文档内容仅供研究参考,付费前请自行鉴别。
3、如文档内容存在违规,或者侵犯商业秘密、侵犯著作权等,请点击“违规举报”。

碎片内容

八年级数学第十四章1422乘法公式(完全平方公式)_课件

您可能关注的文档

百万精品文库+ 关注
实名认证
内容提供者

学习课件教案小学中学资料大全

确认删除?
VIP
微信客服
  • 扫码咨询
会员Q群
  • 会员专属群点击这里加入QQ群
客服邮箱
回到顶部