电脑桌面
添加小米粒文库到电脑桌面
安装后可以在桌面快捷访问

均值不等式【全国高考题】VIP免费

均值不等式【全国高考题】_第1页
1/7
均值不等式【全国高考题】_第2页
2/7
均值不等式【全国高考题】_第3页
3/7
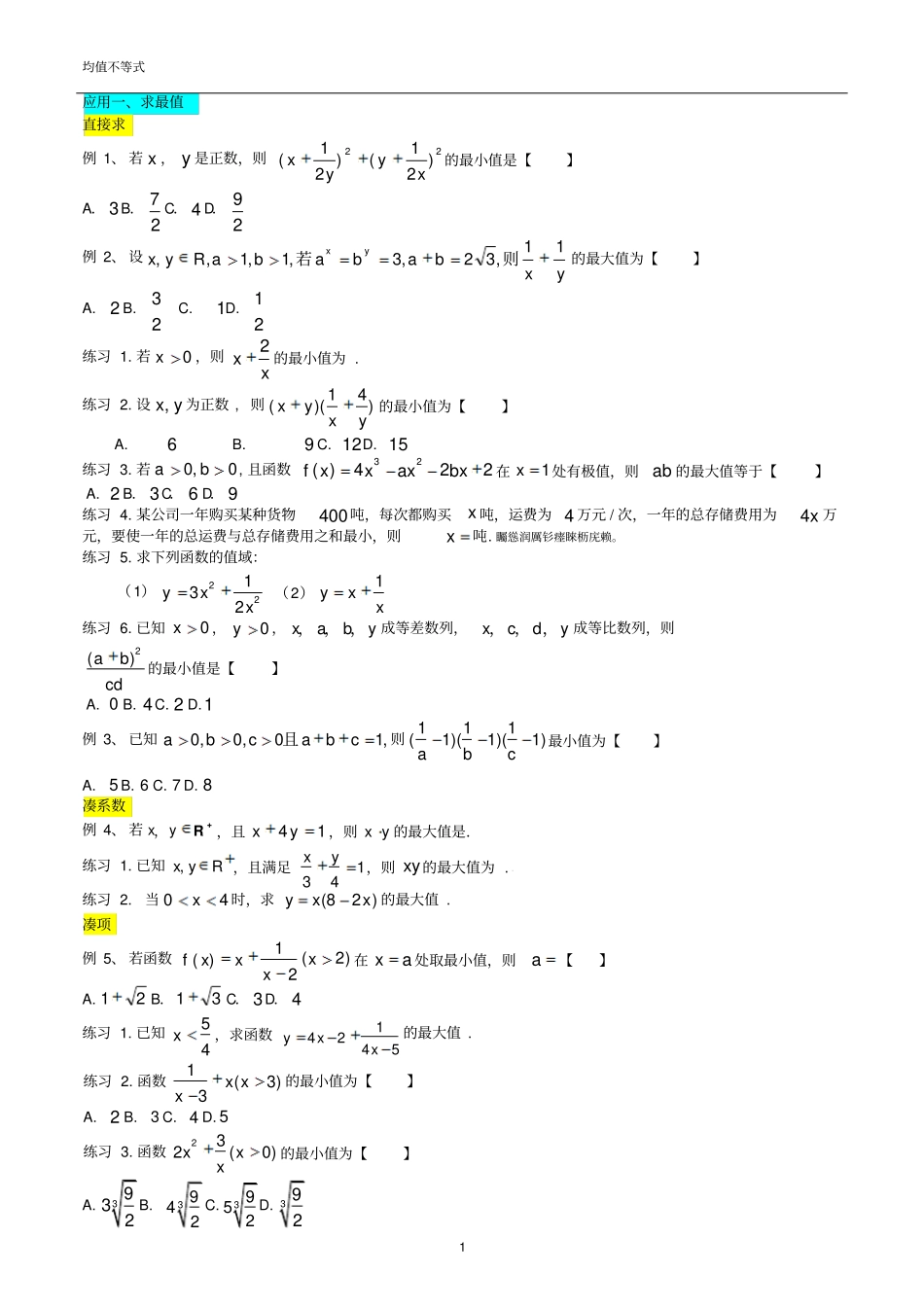
均值不等式1 应用一、求最值直接求例 1、 若 x , y 是正数,则22)21()21(xyyx的最小值是【】A. 3B.27 C. 4 D.29例 2、 设yxbababaRyxyx11,32,3,1,1,,则若的最大值为【】A. 2 B. 23 C. 1D. 21练习 1. 若0x,则2xx的最小值为 .练习 2. 设 ,x y 为正数 , 则14()()xyxy的最小值为【】 A.6 B.9 C. 12D. 15练习 3. 若0,0 ba, 且函数224)(23bxaxxxf在1x处有极值,则 ab 的最大值等于【】 A. 2 B. 3C. 6 D. 9练习 4. 某公司一年购买某种货物400吨,每次都购买x 吨,运费为 4 万元 / 次,一年的总存储费用为4x 万元,要使一年的总运费与总存储费用之和最小,则x吨. 矚慫润厲钐瘗睞枥庑赖。练习 5. 求下列函数的值域:(1)22213xxy(2)xxy1练习 6. 已知0x,0y, xaby, , ,成等差数列,xcdy, , ,成等比数列,则2()abcd的最小值是【】 A. 0 B. 4C. 2 D.1例 3、 已知0,0,01,abcabc且则 111(1)(1)(1)abc最小值为【】A. 5 B. 6 C. 7 D. 8凑系数例 4、 若 xy+R,,且14yx,则 x y 的最大值是.练习 1. 已知,x yR ,且满足134xy,则 xy的最大值为 .练习 2. 当40x时,求(82 )yxx 的最大值 . 凑项例 5、 若函数)2(21)(xxxxf在 xa 处取最小值,则a【】A.21B.31C. 3D. 4练习 1. 已知54x,求函数14245yxx的最大值 . 练习 2. 函数1(3)3x xx的最小值为【】A. 2 B. 3 C. 4 D. 5练习 3. 函数232(0)xxx的最小值为【】A.3 932B. 3 942C.3 952D. 3 92均值不等式2 两次用不等式例 6、 已知22loglog1ab,则 39ab 的最小值为 __________. 例 7、 已知0,0ab,则 112abab的最小值是【】A. 2 B . 2 2 C. 4 D. 5例 8、 设0abc,则221121025()aaccaba ab的最小值是【】A. 2 B. 4 C.2 5 D.5练习 1. 设0ab,则211aaba ab的最小值是【】A. 1B. 2 C. 3 D. 4练习 2. 设0ab,则21()ab ab的最小值是【】A. 2 B. 3C. 4 D. 5练习 3. 设0ab,则1(2)abab的最小值是【】A.3322B.3332C.32 2 D.3342练习 4. 设20ab,则29()(2 )abb ab的最小值是 . 换元例 9、 若yxyx则,422的最大值是 . 练习 1. 设bababa则,62,,22R的最小值是【】A.22B.335C.3D.27例 10、设,x y 是实数,且224,xy则22xySxy的最小值是【】A.2B.2 C. 22 2 D. 2( 21)练习 1. 若221,xy1xyxy则最大值...

1、当您付费下载文档后,您只拥有了使用权限,并不意味着购买了版权,文档只能用于自身使用,不得用于其他商业用途(如 [转卖]进行直接盈利或[编辑后售卖]进行间接盈利)。
2、本站所有内容均由合作方或网友上传,本站不对文档的完整性、权威性及其观点立场正确性做任何保证或承诺!文档内容仅供研究参考,付费前请自行鉴别。
3、如文档内容存在违规,或者侵犯商业秘密、侵犯著作权等,请点击“违规举报”。

碎片内容

均值不等式【全国高考题】

爱的疯狂+ 关注
实名认证
内容提供者

该用户很懒,什么也没介绍

相关文档

确认删除?
VIP
微信客服
  • 扫码咨询
会员Q群
  • 会员专属群点击这里加入QQ群
客服邮箱
回到顶部