电脑桌面
添加小米粒文库到电脑桌面
安装后可以在桌面快捷访问

完全平方公式经典题型VIP免费

完全平方公式经典题型_第1页
1/3
完全平方公式经典题型_第2页
2/3
完全平方公式经典题型_第3页
3/3
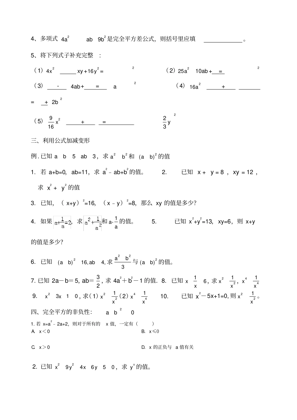
完全平方(和、差)公式:1. 公式:2222abaabb逆用:2222aabbab文字叙述:两数和(或差)的平方,等于它们的平方和,加(或减)它们的积的2倍.口诀:首平方加尾平方,乘积二倍在中央。其中,a b可以是数字、 单项式和多项式。 其中22,ab 称为二次项, 均为正项; 2ab为中间项,符号由括号里的符号确定。扩展:222222axbya xabxyb y a,b为 x、y 系数,那么展开式的中间项系数为2ab。例: 1.229124aabb 2. 2244aabb 3. 2(23)x= 4. 221()32xy= 4. 2102 = 6. 299 = 题型解析:一、添括号运用乘法公式计算:( 1 )2)(ba(2)2)(cba( 4 )22225x4y5x4y( 5)2)12(ba(6)2)12(yx二、展开式系数的判断:公式逆用1、要使kxx62是完全平方式,则k=________ 2、要使42myy成为完全平方式,那么m=________ 3、将多项式92x加上一个整式,使它成为完全平方式,这个整式可以是_______________ 4、多项式2249aabb 是完全平方差公式,则括号里应填。5、将下列式子补充完整: ( 1)24xxy +216y =2( 2)225a10ab + =2( 3) -4ab+ =a2( 4)216a + = +22b( 5)2916x + =223y三、利用公式加减变形例 . 已知5ba3ab,求22ba和2)(ba的值1. 若 a+b=0,ab=11,求 a2﹣ab+b2 的值。 2.已知 x + y = 8 ,xy = 12 ,求 x2 + y2 的值3. 已知,( x+y)2=16,( x﹣y)2=8,那么 xy 的值是多少?4. 如果,求和1a-a的值。 5. 已知 x2+y2=13,xy=6,则 x+y的值是多少?6. 已知2()16,4,abab求223ab 与2()ab的值。7. 已知 2a-b= 5,ab=23 ,求 4a2+ b2-1 的值.8. 已知16xx,求221xx ,441xx 9. 0132xx,求( 1)221xx(2)441xx 10.已知 x2-5x+1=0, 则2x21x。四、完全平方的非负性:2ab01. 若 x=a2﹣2a+2,则对于所有的x 值,一定有()A.x<0 B.x≤0C.x>0 D.x 的正负与 a 值有关 2. 已知2294650xyxy,求xy 的值。3. 对任意的实数x, 求245xx的最大值是多少?4. 已知22966100abab,求2014()ab的值。5. 若222220abab-,则20042005_____.ab6. 已知0136422yxyx,求yx =_______. 7. 已知222450xyxy,求21 (1)2xxy =_______. 8. 已知 x、y 满足 x2十 y2 十45 =2x 十 y,求代数式yxxy =_______. 9. 已 知 三 角 形ABC 的 三 边 长 分 别 为a,b,c且a,b,c满 足 等 式22223()()abcabc,请说明该三角形是什么三角形?

1、当您付费下载文档后,您只拥有了使用权限,并不意味着购买了版权,文档只能用于自身使用,不得用于其他商业用途(如 [转卖]进行直接盈利或[编辑后售卖]进行间接盈利)。
2、本站所有内容均由合作方或网友上传,本站不对文档的完整性、权威性及其观点立场正确性做任何保证或承诺!文档内容仅供研究参考,付费前请自行鉴别。
3、如文档内容存在违规,或者侵犯商业秘密、侵犯著作权等,请点击“违规举报”。

碎片内容

完全平方公式经典题型

您可能关注的文档

文库响当当+ 关注
实名认证
内容提供者

该用户很懒,什么也没介绍

相关文档

确认删除?
VIP
微信客服
  • 扫码咨询
会员Q群
  • 会员专属群点击这里加入QQ群
客服邮箱
回到顶部