电脑桌面
添加小米粒文库到电脑桌面
安装后可以在桌面快捷访问

完整版,120道分式化简求值练习题库VIP免费

完整版,120道分式化简求值练习题库_第1页
1/16
完整版,120道分式化简求值练习题库_第2页
2/16
完整版,120道分式化简求值练习题库_第3页
3/16
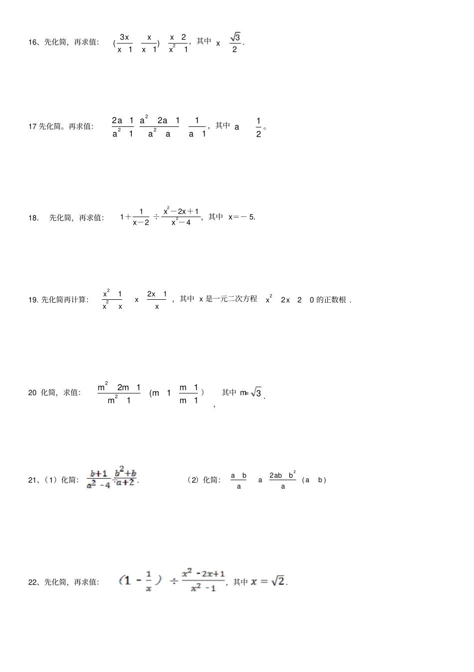
化简求值题1. 先化简,再求值:12112xx,其中 x=- 2.2、先化简,再求值:,其中 a=﹣ 1.3、先化简,再求值:,其中 x=.4、先化简,再求值:,其中.5 先化简,再求值,其中 x 满足 x2﹣x﹣1=0.6、化简:bababab3a7、先化简,再求值:,其中 a=.8、先化简211111xxxx(),再从﹣ 1、 0、1 三个数中,选择一个你认为合适的数作为x 的值代入求值.9、先化简,再求值: (+1)÷,其中 x=2.10、先化简,再求值:3x–3 –18x2 – 9 ,其中 x = 10–3 11、先化简下列式子,再从2,﹣ 2,1,0,﹣ 1 中选择一个合适的数进行计算..12、先化简,再求值:12xx(xx1-2), 其中 x=2. 13、先化简,再求值:,其中.14、先化简22()5525xxxxxx,然后从不等组23212xx的解集中,选取一个你认为符合题意的x 的值代入求值.15、先化简,再求值:62296422aaaaa,其中5a.16、先化简,再求值:232()111xxxxxx,其中32x.17 先化简。再求值:2222121111aaaaaaa,其中12a。18. 先化简,再求值:1+1x-2 ÷ x2-2x+1x2-4,其中 x=- 5.19. 先化简再计算:22121xxxxxx,其中 x 是一元二次方程2220xx的正数根 . 20 化简,求值:111(11222mmmmmm),其中 m=.21、(1)化简:÷.(2)化简:22ababba( ab )aa22、先化简,再求值:,其中.323请你先化简分式2223691,x1211xxxxxxx再取恰的的值代入求值.24、(本小题 8 分)先化简再求值121112222aaaaaa其中 a=3 +1 25、化简,其结果是.26.先化简,再求值:(xx-2- 2) ÷x2-16x2-2x,其中 x=3-4.27、 先化简,再求值:x2+4x+4x2-16÷x+22x-8- 2xx+ 4,其中 x=2. 28、先化简,再求值:232()224xxxxxx,其中34x.29.先化简,再求值:2()11aaaaa,其中21.a30、先化简,再求值:2211()11aaaa,其中2a31、( 1)化简:.(2)2111xxx(3)aaaa1)1(32.( 1)abababba)(2。(2)计算221()abababba33 先化简,再求值:22111aaa,其中21a.34 化简:.35.先化简,再求值:2121-1aaa,其中21a.36、.先化简x2+2x+1x2-1-xx-1,再选一个合适的x 值代入求值 . 39.当2x时,求22111xxxx的值.40先化简,再把 x 取一个你最喜欢的数代入求值:2)22444(22xxxxxxx41.先化简,再选择一个你喜欢的数代入求值。2011aa2-2a+1÷(a+1a2-1+1) 42、先化简,再求值:,其中.43、先化简:()÷.再从 1,2,3 中选一个你认为合适的数作为a...

1、当您付费下载文档后,您只拥有了使用权限,并不意味着购买了版权,文档只能用于自身使用,不得用于其他商业用途(如 [转卖]进行直接盈利或[编辑后售卖]进行间接盈利)。
2、本站所有内容均由合作方或网友上传,本站不对文档的完整性、权威性及其观点立场正确性做任何保证或承诺!文档内容仅供研究参考,付费前请自行鉴别。
3、如文档内容存在违规,或者侵犯商业秘密、侵犯著作权等,请点击“违规举报”。

碎片内容

完整版,120道分式化简求值练习题库

爱的疯狂+ 关注
实名认证
内容提供者

该用户很懒,什么也没介绍

相关文档

确认删除?
VIP
微信客服
  • 扫码咨询
会员Q群
  • 会员专属群点击这里加入QQ群
客服邮箱
回到顶部