电脑桌面
添加小米粒文库到电脑桌面
安装后可以在桌面快捷访问

完整版七年级下整式的乘除练习题VIP免费

完整版七年级下整式的乘除练习题_第1页
1/21
完整版七年级下整式的乘除练习题_第2页
2/21
完整版七年级下整式的乘除练习题_第3页
3/21
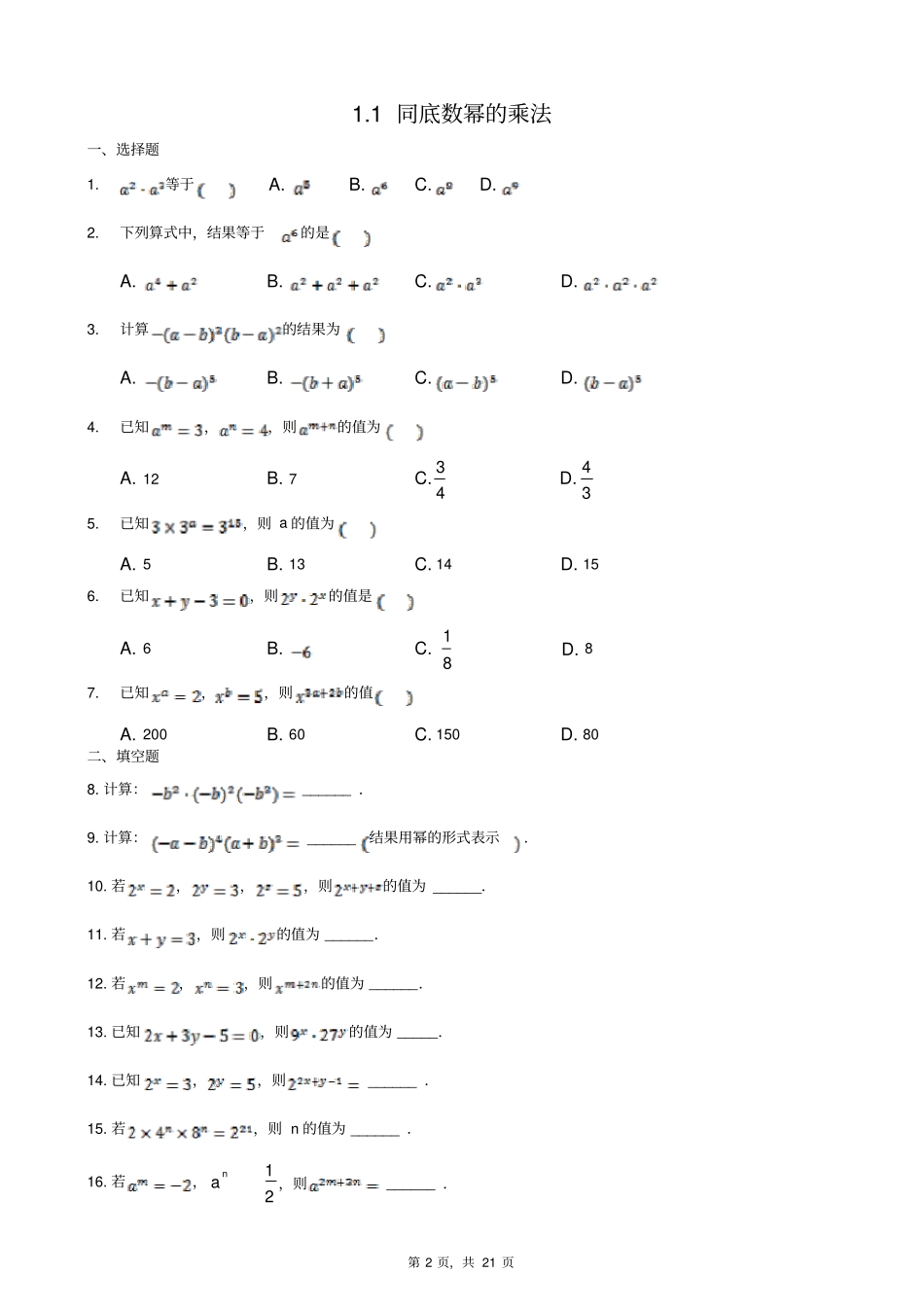
第 1 页,共 21 页礼 于 智德 于 心行 于 笃北京师范大学版七年级数学下册第一章《整式的乘除》分节练习题班级: ________ 姓名 :_________ 第 2 页,共 21 页1.1 同底数幂的乘法一、选择题1.等于A. B. C. D. 2.下列算式中,结果等于的是A. B. C. D. 3.计算的结果为A. B. C. D. 4.已知,,则的值为A. 12B. 7C.43D.345.已知,则 a 的值为A. 5B. 13C. 14D. 156.已知,则的值是A. 6B. C. 81D. 87.已知,,则的值A. 200B. 60C. 150D. 80二、填空题8. 计算:______ .9. 计算:______ 结果用幂的形式表示.10. 若,,,则的值为 ______.11. 若,则的值为 ______.12. 若,,则的值为 ______.13. 已知,则的值为 _____.14. 已知,,则______ .15. 若,则 n 的值为 ______ .16. 若,21na,则______ .第 3 页,共 21 页三、计算题17.计算.18.已知,,求:的值;的值.19.20.已知,,求和的值.四、解答题21.阅读理解并解答:为了求的值,可令,则,因此.所以:即.请依照此法,求:的值.第 4 页,共 21 页1.2 幂的乘方与积的乘方一、选择题1.计算的结果是A. B. C. D. 2.计算的结果是A. B. C. D. 3.下列运算正确的是A. B. C. D. 4.下列运算错误的是A. B. C. D. 5.下列各式中:;;;正确的个数是A. 1 个B. 2 个C. 3 个D. 4 个6.的结果是A. 0B. C. D. 7.计算201620152332的结果是A. 32B. 32C. 23D. 238.若,,则等于A. 6B. 7C. 8D. 189.如果,,,那么 a、b、c 的大小关系是A. B. C. D. 10.已知,,,那么 a、b、c 之间满足的等量关系不成立的是A. B. C. D. 第 5 页,共 21 页二、填空题11.______. 12.计算:10092018913=______.13.______ . 14. 若,则______ .15.计算:的结果是 ______. 16. 已知:,,则______ .17.若,,则______ .三、计算题18.计算:5201621103.19.计算题32221101.四、解答题20.已知,,求的值.21.已知,求的值.第 6 页,共 21 页1.3 同底数幂的除法一、选择题1.计算结果正确的是A. B. C. D. 2.计算的结果是A. B. C. D. 3.计算的结果是A. 21xB. 41xC. D. 4.下列运算正确的是A. B. C. D. 5.下列运算正确的是A. B. C. D. 6.下列计算正确的有;;;.A. 0 个B. 1 个C. 2 个D. 3 个7.若,,则A. 6B. 3C. 9D. 128.已知,,则的值是...

1、当您付费下载文档后,您只拥有了使用权限,并不意味着购买了版权,文档只能用于自身使用,不得用于其他商业用途(如 [转卖]进行直接盈利或[编辑后售卖]进行间接盈利)。
2、本站所有内容均由合作方或网友上传,本站不对文档的完整性、权威性及其观点立场正确性做任何保证或承诺!文档内容仅供研究参考,付费前请自行鉴别。
3、如文档内容存在违规,或者侵犯商业秘密、侵犯著作权等,请点击“违规举报”。

碎片内容

完整版七年级下整式的乘除练习题

您可能关注的文档

文库响当当+ 关注
实名认证
内容提供者

该用户很懒,什么也没介绍

确认删除?
VIP
微信客服
  • 扫码咨询
会员Q群
  • 会员专属群点击这里加入QQ群
客服邮箱
回到顶部