电脑桌面
添加小米粒文库到电脑桌面
安装后可以在桌面快捷访问

高一数学二倍角测考试卷能力测试无附答案考试卷VIP免费

高一数学二倍角测考试卷能力测试无附答案考试卷_第1页
1/4
高一数学二倍角测考试卷能力测试无附答案考试卷_第2页
2/4
高一数学二倍角测考试卷能力测试无附答案考试卷_第3页
3/4
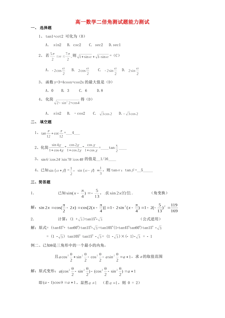
高一数学二倍角测试题能力测试一、 选择题1、 tan1+cot2 可化为(B)A. sin2 B. csc2 C. sec2 D.sec12、 若则=(C)A. B. C. D. 3、 函数 y=3+4cosx+cos2x 的最大值是(D)A.0 B. 3 C. 6 D.84、 化简得(D)A. sin2 B. –cos2 C. D.二、 填空题 1、=___4___ 2、化简=____tan____ 3、的值是__1/16____ 4、已知=,,则 tan:tan=__5_____三、简答题1.已知 (角变换) 解:2.计算:(1 +)tan15 (公式逆用)解:原式= (tan45+ tan60)tan15=tan105(1tan45tan60)tan15  = (1 ) tan105 tan15 = (1 )×( 1) =  1例二、已知是三角形中的一个最小的内角, 且,求 a 的取值范围解:原式变形: 即,显然 (若,则 0 = 2) ∴ 又∵,∴ 即: 解之得:例三、试求函数的最大值和最小值。 若呢? 解:1.设 则 ∴ ∴ ∴ 2.若,则,∴ 即例四、已知 tan = 3tan( + ),,求 sin(2 + )的值。 解:由题设: 即 sin cos( + ) = 3sin( + )cos 即 sin( + ) cos + cos( + )sin = 2sin cos( + )  2cossin( + ) ∴sin(2 + ) = 2sin 又∵ ∴sin ∴sin(2 + ) = 1能力测试 B 卷一、 选择题1、 (2002,北京,理,4 分)若,则的值为(A)A. B. C. D. 2、(2003,河南,5 分)已知,则 tan2x=(D)A. B. C. D. 3、(2000,北京、安徽春,5 分)函数的最大值是(B)A. B. C. D. 4、(2003,全国,5 分)函数的最大值为(A) A. B. C. D. 1二、 填空题 1、(1994,全国,4 分)已知,则 cot的值______ 2 、 ( 2002 , 上 海 , 春 季 , 4 分 ) 已 知 f ( x ) =, 若, 则可以化简为____2csc___ 3、(2002,全国,春季,4 分)如果,,那么的值等于_____ 4、(1997,全国,4 分)函数的最大值为___1/2____三、 简答题 1、(2002,全国,12 分)已知,求,tan的值。 2、(2002,北京春招,12 分)在 ABC 中,已知三内角 A,B,C 成等差数列,求的值3、 (2001,天津,14 分)已知,求4、(1999 年考题) 已知 α、β 为锐角,且 求证:α+2β=考点总结:(名称分析法)(结构分析法)特别注意 “1”的代换

1、当您付费下载文档后,您只拥有了使用权限,并不意味着购买了版权,文档只能用于自身使用,不得用于其他商业用途(如 [转卖]进行直接盈利或[编辑后售卖]进行间接盈利)。
2、本站所有内容均由合作方或网友上传,本站不对文档的完整性、权威性及其观点立场正确性做任何保证或承诺!文档内容仅供研究参考,付费前请自行鉴别。
3、如文档内容存在违规,或者侵犯商业秘密、侵犯著作权等,请点击“违规举报”。

碎片内容

高一数学二倍角测考试卷能力测试无附答案考试卷

您可能关注的文档

星河书苑+ 关注
实名认证
内容提供者

从事历史教学,热爱教育,高度负责。

相关文档

确认删除?
VIP
微信客服
  • 扫码咨询
会员Q群
  • 会员专属群点击这里加入QQ群
客服邮箱
回到顶部