电脑桌面
添加小米粒文库到电脑桌面
安装后可以在桌面快捷访问

函数定义域、值域求法总结(精彩)VIP免费

函数定义域、值域求法总结(精彩)_第1页
1/12
函数定义域、值域求法总结(精彩)_第2页
2/12
函数定义域、值域求法总结(精彩)_第3页
3/12
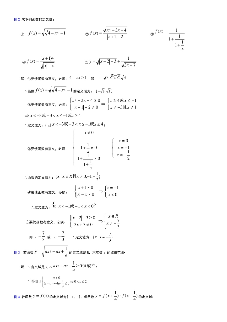
函数定义域、值域求法总结 一、定义域是函数y=f(x)中的自变量x 的范围。 求函数的定义域需要从这几个方面入手: (1)分母不为零 (2)偶次根式的被开方数非负。 (3)对数中的真数部分大于0。 (4)指数、对数的底数大于0,且不等于1 (5)y=tanx 中x≠kπ+π/2;y=cotx 中x≠kπ等等。 ( 6 )0x 中x0 二、值域是函数y=f(x)中y 的取值范围。这些解题思想与方法贯穿了高中数学的始终。 常用的求值域的方法:(1)直接法 (2)图象法(数形结合) (3)函数单调性法 (4)配方法 (5)换元法 (包括三角换元) (6)反函数法(逆求法) (7)分离常数法 (8)判别式法 (9)复合函数法 (10)不等式法 (11)平方法等等 三、典例解析 1、定义域问题 例 1 求下列函数的定义域: ① 21)( xxf;② 23)(xxf;③ xxxf211)( 解:① x-2=0,即 x=2 时,分式21x无意义, 而2x时,分式21x有意义,∴这个函数的定义域是2| xx. ② 3x+2<0,即 x<-32时,根式 23 x无意义, 而023x,即32x时,根式 23 x才有意义, ∴这个函数的定义域是{ x |32x}. ③ 当0201xx且,即1x且2x时,根式1x和分式x21 同时有意义, ∴这个函数的定义域是{ x |1x且2x} 另解:要使函数有意义,必须: 0201xx 21xx 例2 求下列函数的定义域: ① 14)(2 xxf ②2143)(2xxxxf ③ )(xfx11111 ④xxxxf0)1()( ⑤373132xxy 解:①要使函数有意义,必须:142  x 即: 33x ∴函数14)(2 xxf的定义域为: [3,3] ②要使函数有意义,必须:13140210432xxxxxxx且或 4133xxx或或 ∴定义域为:{ x|4133xxx或或} ③要使函数有意义,必须: 011110110xxx 2110xxx ∴函数的定义域为:}21,1,0|{xRxx且 ④要使函数有意义,必须: 001xxx 01xx ∴定义域为:011|xxx或 ⑤要使函数有意义,必须: 073032xx 37xRx 即 x<37 或 x>37 ∴定义域为:}37|{xx 例3 若函数aaxaxy12的定义域是 R,求实数a 的取值范围 解...

1、当您付费下载文档后,您只拥有了使用权限,并不意味着购买了版权,文档只能用于自身使用,不得用于其他商业用途(如 [转卖]进行直接盈利或[编辑后售卖]进行间接盈利)。
2、本站所有内容均由合作方或网友上传,本站不对文档的完整性、权威性及其观点立场正确性做任何保证或承诺!文档内容仅供研究参考,付费前请自行鉴别。
3、如文档内容存在违规,或者侵犯商业秘密、侵犯著作权等,请点击“违规举报”。

碎片内容

函数定义域、值域求法总结(精彩)

您可能关注的文档

确认删除?
VIP
微信客服
  • 扫码咨询
会员Q群
  • 会员专属群点击这里加入QQ群
客服邮箱
回到顶部