火电厂智能自动控制的技术路线计算机分散控制系统(DistributedControlSystem-DCS)在发电厂中已经普及应用,我们国家 DCS 的硬件水平早...
精馏塔的自动控制课件BIGDATAEMPOWERSTOCREATEANEWERA目录CONTENTS•精馏塔的介绍•精馏塔的自动控制系统•精馏塔的自动控制系统设计•精馏...
毕业设计(论文)题目:全自动灌装机的PLC自动控制设计及故障处理摘要传统的继电器控制设备不仅体积大,耗电多、效率低且故障率高,已无法...
1/2做试题,没答案?上自考365,网校名师为你详细解答!全国2006年10月高等教育自学考试自动控制理论(二)试题课程代码:02306一、单项选择题(...
全国2012年1月自学考试自动控制理论(二)试题02306A.-40dB/decB.-20dB/decC.20dB/decD.40dB/dec11.设开环传递函数为G(s)H(s)=K(s+1...
1/3全国2005年10月高等教育自学考试自动控制理论(二)试题课程代码:02306一、单项选择题(本大题共15小题,每小题2分,共30分)在每小题列...
第14章电磁铁与自动控制例题与习题【例1】如图1所示,弹簧秤下挂一铁球,将弹簧秤自左向右逐渐移动时,弹簧秤的示数[]A.不变。B.逐渐减少...
《自动控制原理》习题习题11有一水位控制装置如图所示。试分析它的控制原理,指出它是开环控制系统闭环控制系统?说出它的被控量,输入量及...
《自动控制原理(I)》教学大纲一、课程的性质、任务、基本要求和条件(一)课程的性质和特点自动控制原理是高校电类学科各专业的一门重要...
匠心凝聚筑梦海港姓名:***学校:***联系电话:指导老师:***参赛组别:职业目标:港口机械高级工程师匠心凝聚筑梦海港参赛选手基本资料姓...
一带一路筑梦未来立足港航圆梦海港姓名:**学校:**第四届青岛市大学生职业生涯规划大赛作品个人信息姓名:**性别:男年龄:20籍贯:业:港...
习题2-1试证明图2-42(a)的电网络与(b)的机械系统有相同的数学模型。(a)电网络(b)机械系统图2-42解:对于电网络系统有:电路中的总电流:i=u...
第第77章电气自动控章电气自动控制制本章内容本章内容7.57.5行程控制行程控制7.17.1手动控制手动控制7.27.2起停自动控制起停自动控制7.37.3...
LOGO想要事物的发展令我们满意,就需要运用有效的方法加以控制。楼上水龙头忘记关了...回顾:什么叫控制,要素是什么...回顾:什么叫控制,...
自动控制原理胡寿第5章答案
成都理工大学工程技术学院毕业论文五层电梯的自动控制设计作者姓名:高向旭专业名称:电气工程及其自动化指导教师:王安讲师五层电梯的自动...
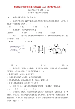
新课标九年级物理单元测试题(五)[配粤沪版上册](考试时间45分钟,满分100分)第十五章电磁铁与自动控制一、单项选择题(每题3分,共30分...
1自控作业答案红色为重点(2016年考题)第一章1-2仓库大门自动控制系统原理示意图。试说明系统自动控制大门开闭的工作原理,并画出系统方框...
课程设计名称:自动控制原理课程设计题目:火炮跟踪随动控制系统专业:班级:姓名:学号:课程设计任务书一、设计题目:车载武器随动系统设...
在自动控制系统中广泛使用的控制器、变送器、运算器、执行器等按能源形式分类气动、电动、液动按结构形式分类1.基地式仪表2.单元组合式仪表...

