第四章 单层 K8 型椭球壳的承载力拟合公式 及支承条件对极限承载力的影响4.1 引言前面已对单层 K8 型椭球面网壳在考虑不同参数变化...
在 GPS 高程转换中五种高程拟合方法的讨论探讨在 GPS 高程转换中五种高程拟合方法的讨论探讨 摘要:本文正是围绕高程异常的求解问题展...
用最小二乘法进行多项式拟合(matlab 实现)西安交通大学 徐彬华算法分析:对给定数据 (i=0 ,1,2,3,。。,m),一共 m+1 个数据点...
最小二乘法拟合探究吴春晖(中国海洋大学 海洋环境学院 山东 青岛 266100)摘要:本文的拟合对象为含多个变量的待定系数的多项式。通过...
用最小二乘法进行多项式拟合(matlab 实现)西安交通大学 徐彬华算法分析:对给定数据 (i=0 ,1,2,3,..,m),一共 m+1 个数据点,取多...
曲线拟合(curve-fitting):工程实践中,用测量到的一些离散的数据求一个近似的函数来拟合这组数据,要求所得的拟合曲线能最好的反映数据的...
曲线拟合的最小二乘法学院:光电信息学院姓名:赵海峰学号:202520501001一、曲线拟合的最小二乘法原理:由已知的离散数据点选择与实验点误...
基于 BP 神经网络的函数拟合摘要:随着科学技术的飞速进展,人工神经网络也迅速进展,它更是智能领域中的重要组成部分,现在它已经被广泛的...
第 1 步,导入数据,做散点图第 2 步,非线性拟合:analysis→fitting→nonlinear curve fit →open dialog第 3 步,选择拟合方...
Matlab曲线拟合工具箱CFTOOL实例解析
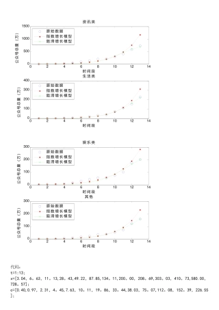
02468101214050010001500时 间 段公 众 号 总 量 ( 万 )资 讯 类 原 始 数 据指 数 增 长 模 型阻 滞 增 长 模...
// shujunihe.cpp : 定义控制台应用程序的入口点。//// quanzhuyuan.cpp : 定义控制台应用程序的入口点。//#include "stdafx.h"#inc...
matlab 曲线拟合人口增长模型及其数量预测(9 页)Good is good, but better carries it.精益求精,善益求善。实验目的[1] 学习由实...
内 蒙 古 科 技 大 学本 科 生 毕 业 设 计 说 明 书( 毕 业 论 文 )题 目 : 最 小 二 乘 曲线 拟 合 及...
内 蒙 古 科 技 大 学本 科 生 毕 业 设 计 说 明 书( 毕 业 论 文 )题 目 : 最 小 二 乘 曲线 拟 合 及...
第 5 章 插值与拟合方法插值与拟合方法是用有限个函数值去推断或表示函数的方法,它在理论数学中提到的不多。本章主要介绍有关解决这类...
基于 Matlab 的曲线拟合方法讨论一、引言在科学技术的许多领域中,常常需要根据实际测试所得到的一系列数据,求出它们的函数关系。使得找...
以英文版 origin 7 5 为例:一方面是输入数据(以两个拟合曲线为例):一、在 ori g in 里面增长两列:点击鼠标右键,选择 add ...
差值拟合算法的应用及 matlab 实现摘 要插值和拟合都是函数逼近或者数值逼近的重要组成部分他们的共同点都是通过已知一些离散点集 M ...
matlab 拟合工具箱使用1.打开 CFTOOL 工具箱在 Matlab 6.5 以上的环境下,在左下方有一个"Start"按钮,如同 Windows 的开始菜单,...

