电脑桌面
添加小米粒文库到电脑桌面
安装后可以在桌面快捷访问

2009年考研数学一真题及答案解析VIP免费

2009年考研数学一真题及答案解析_第1页
1/20
2009年考研数学一真题及答案解析_第2页
2/20
2009年考研数学一真题及答案解析_第3页
3/20
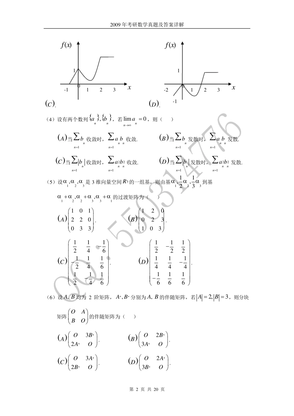
2009 年考研数学真题及答案详解 第 1 页 共 20 页 2009年全国硕士研究生入学统一考试 数学一试题 一、选择题(1 ~8 小题,每小题4 分,共3 2 分,下列每小题给出的四个选项中,只有一项符合题目要求,把所选项前的字母填在题后的括号内.) (1)当0x 时,  sinf xxax与  2 ln 1g xxbx等价无穷小,则( )  A11,6ab .  B11,6ab.  C11,6ab  .  D11,6ab . (2)如图,正方形 ,1,1x yxy被其对角线划分为 四个区域1,2,3,4kDk ,coskkDIyx dx dy , 则 14maxkkI  ( )  A1I .  B2I .  C3I .  D4I . (3)设函数 yf x在区间1,3上的图形为: 则函数  0xF xf t dt 的图形为( )  A .  B . ( )f x0 2 3 x1 -2 -1 1 ( )f x0 2 3 x1 -2 -1 1 1 ( )f x-2 0 2 3 x-1 O -1 -1 1 1 x y 1D 2D 3D 4D 2009 年考研数学真题及答案详解 第 2 页 共 20 页  C .  D . (4)设有两个数列   ,nnab,若lim0nna,则( )  A 当1nnb收敛时,1nnna b收敛.  B 当1nnb发散时,1nnna b发散.  C 当1nnb收敛时,221nnna b收敛.  D 当1nnb发散时,221nnna b发散. (5)设123,,   是3 维向量空间3R 的一组基,则由基12311,,23 到基 122331,,  的过渡矩阵为( )  A101220033.  B120023103.  C111246111246111246.  D111222111444111666. (6)设,A B 均为 2 阶矩阵,**,A B 分别为,A B 的伴随矩阵,若2,3AB,则分块矩阵OABO的伴随矩阵为( )  A**32OBAO.  B**23OBAO.  C**32OABO.  D**23OABO. ( )f x0 2 3 x1 -2 -1 1 ( )f x0 2 3 x1 -1 1 2009 年考研数学真题及答案详解 第 3 页 共 20 页 (7)设随机变量X 的分布函数为  ...

1、当您付费下载文档后,您只拥有了使用权限,并不意味着购买了版权,文档只能用于自身使用,不得用于其他商业用途(如 [转卖]进行直接盈利或[编辑后售卖]进行间接盈利)。
2、本站所有内容均由合作方或网友上传,本站不对文档的完整性、权威性及其观点立场正确性做任何保证或承诺!文档内容仅供研究参考,付费前请自行鉴别。
3、如文档内容存在违规,或者侵犯商业秘密、侵犯著作权等,请点击“违规举报”。

碎片内容

2009年考研数学一真题及答案解析

您可能关注的文档

确认删除?
VIP
微信客服
  • 扫码咨询
会员Q群
  • 会员专属群点击这里加入QQ群
客服邮箱
回到顶部