电脑桌面
添加小米粒文库到电脑桌面
安装后可以在桌面快捷访问

2010年考研数学二真题及答案解析VIP免费

2010年考研数学二真题及答案解析_第1页
1/40
2010年考研数学二真题及答案解析_第2页
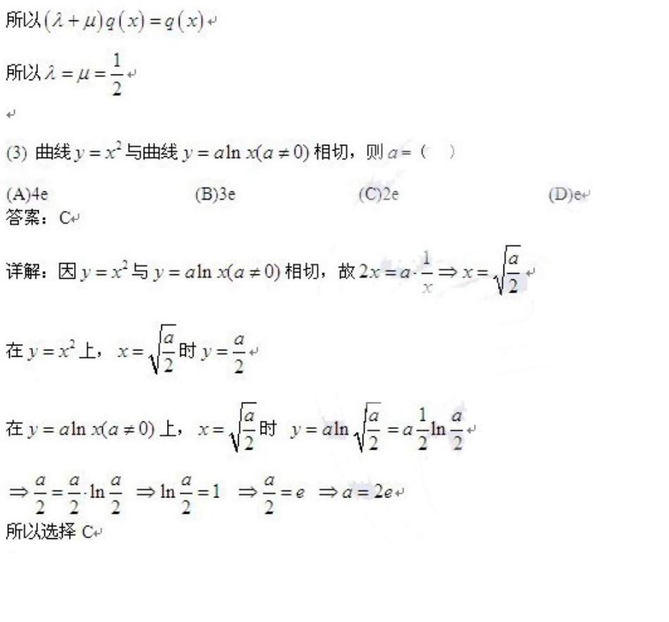
2/40
2010年考研数学二真题及答案解析_第3页
3/40
英语学习资料下载大全(更新中) 英语阅读资料汇总 The Princess Diaries(《公主日记》系列全10 卷下载 爱情浪漫小说共 17 本原版PDF下载 美国畅销作家Dean Koontz小说下载汇总 美文精选共 45 篇 报刊选读共 10 篇下载 5 分钟和陌生人成为朋友(英文版)共 200 页PDF下载 名著汤姆叔叔的小屋下载(PDF,txt,EXE格式) 155 篇大学应背英语课文. (中英对照)傲慢与偏见电子书下载 泰戈尔散文 100 篇节选(中英对照). Gossip girl #1《绯闻少女系列一》by Cecily Von Ziegesar(pdf) 《闪灵》(The Shining)PDF下载 好书下载:Teaching Young Children a Second Language 一本容易读懂的英语小说 中国四大名著英文版下载 幽谷百和(双语电子书下载) 新东方背诵文选全集_共 50 篇 散文佳作 108 篇-汉译英 散文佳作 108 篇-英译汉 奥巴马新书AUDACITY OF HOPE(无畏的希望)PDF下载 《鲁迅全集》英文版WORD下载 谍影重重-英文版下载 神奇动物在哪里英文书下载 哈利波特双语全集电子书下载 书虫系列简易英汉逐句对照读物 tx t 傅伟良:英文经济报刊精读 (修订版)PDF下载 迈克尔杰克逊自传 pdf 原版英文下载 2006 年畅销获奖儿童小说《穿条纹睡衣的男孩》PDF原版英文小说下载 英文版金庸神雕侠侣WORD版下载 纳尼亚传奇第一部词汇注释兼下载 林语堂-《生活的艺术》英文版下载 《世界上最伟大的推销员》(羊皮卷)中英文对照 谁动了我的奶酪(一书全下载) 香水_一个谋杀犯的故事(中英文版)PDF下载 钱钟书《围城》完整高清汉英对照版pdf 希腊神话中英文对照全集. 中国传统民间寓言精选(汉英对照) 双语英语美文共5 本PDF下载 迪士尼神奇英语配套教材+全套神奇英语配套教材Ⅰ(1-8) 刘茜:征婚交友网恋英语一本通 弘恢:男欢女爱开心英语 梦想与现实(PDF下载) 墓光之城系列 pdf 版下载 24 小时如何过活(英文书PDF下载) 胡杨:大学英语四六级晨读经典365 篇下载 双语杂志美文下载(共几百多页) 吴新华:英语爱情对白精粹电子书下载 英语美文阅读 The Chronicles of Narnia(1-7)《纳尼亚传奇》by CS Lewis(txt) 双语好文共赏共140 篇下载 英语小故事下载 疯狂英语美文欣赏 1 共30 篇下载 疯狂英语美文欣赏 2 共30 篇下载 疯狂英语美文欣赏 3 共30 篇 疯狂英语美文欣赏 4 共33 篇 历届美国总统就职演说下载 the secret史上最畅销...

1、当您付费下载文档后,您只拥有了使用权限,并不意味着购买了版权,文档只能用于自身使用,不得用于其他商业用途(如 [转卖]进行直接盈利或[编辑后售卖]进行间接盈利)。
2、本站所有内容均由合作方或网友上传,本站不对文档的完整性、权威性及其观点立场正确性做任何保证或承诺!文档内容仅供研究参考,付费前请自行鉴别。
3、如文档内容存在违规,或者侵犯商业秘密、侵犯著作权等,请点击“违规举报”。

碎片内容

2010年考研数学二真题及答案解析

您可能关注的文档

确认删除?
VIP
微信客服
  • 扫码咨询
会员Q群
  • 会员专属群点击这里加入QQ群
客服邮箱
回到顶部