电脑桌面
添加小米粒文库到电脑桌面
安装后可以在桌面快捷访问

拉普拉斯变换VIP免费

拉普拉斯变换_第1页
1/14
拉普拉斯变换_第2页
2/14
拉普拉斯变换_第3页
3/14
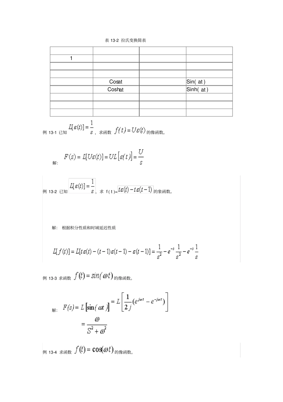
§13拉普拉斯变换重点: 1.拉普拉斯反变换部分分式展开2.基尔霍夫定律的运算形式、运算阻抗和运算导纳、运算电路3.应用拉普拉斯变换分析线性电路的方法和步骤难点:1.拉普拉斯反变换的部分分式展开法2.电路分析方法及定理在拉普拉斯变换中的应用本章与其它章节的联系:是后续各章的基础,是前几章基于变换思想的延续。预习知识:积分变换§13-1拉普拉斯变换的定义1.拉普拉斯变换法拉普拉斯变换法是一种数学积分变换,其核心是把时间函数f(t)与复变函数F(s) 联系起来,把时域问题通过数学变换为复频域问题,把时间域的高阶微分方程变换为复频域的代数方程,在求出待求的复变函数后,再作相反的变换得到待求的时间函数。由于解复变函数的代数方程比解时域微分方程较有规律且有效,所以拉普拉斯变换在线性电路分析中得到广泛应用。2.拉普拉斯变换的定义一个定义在 [0,+ ∞)区间的函数f(t),它的拉普拉斯变换式F(s)定义为式中 s=σ +j ω 为复数,被称为复频率;F (s)为 f(t)的象函数, f(t)为 F(s)的原函数。由 F(s)到 f(t)的变换称为 拉普拉斯反变换,它定义为式中 c 为正的有限常数。注意:1)定义中拉氏变换的积分从t=0-开始,即:它计及 t=0- 至 0+,f(t)包含的冲激和电路动态变量的初始值,从而为电路的计算带来方便。2)象函数F(s)一般用大写字母表示,如 I(s), U(s),原函数 f(t) 用小写字母表示,如i(t),u(t)。3)象函数F(s)存在的条件:3.典型函数的拉氏变换1)单位阶跃函数的象函数2)单位冲激函数的象函数3)指数函数的象函数§13-2 拉普拉斯变换的性质拉普拉斯变换的性质列于表13.1 中。表 13-1 拉氏变换的若干性质和定理特性和定理表达式条件和说明线性a、b 为常数位移特性时域延迟为一非负实数频域延迟微分若所有初值为零,则有积分初值定理或存在终值定理或所有奇点均在s 平面左半部卷积定理为与的卷积应用拉氏变换的性质,同时借助于表13.2 中所示的一些常用函数的拉普拉斯变式可以使一些函数的象函数求解简化。表 13-2 拉氏变换简表1 CosatSin( at ) CoshatSinh( at ) 例 13-1 已知,求函数的像函数。解:例 13-2 已知,求 f ( t )=的象函数。解: 根据积分性质和时域延迟性质例 13-3 求函数的像函数。解:例 13-4 求函数的像函数。解: 根据微分性质,因为,所以例 13-5 求函数的像函数。解: 根据频域导数性质有:例 13-6 求函数的像函数。解: 根据频域导数性质有:...

1、当您付费下载文档后,您只拥有了使用权限,并不意味着购买了版权,文档只能用于自身使用,不得用于其他商业用途(如 [转卖]进行直接盈利或[编辑后售卖]进行间接盈利)。
2、本站所有内容均由合作方或网友上传,本站不对文档的完整性、权威性及其观点立场正确性做任何保证或承诺!文档内容仅供研究参考,付费前请自行鉴别。
3、如文档内容存在违规,或者侵犯商业秘密、侵犯著作权等,请点击“违规举报”。

碎片内容

拉普拉斯变换

文库当当响+ 关注
实名认证
内容提供者

该用户很懒,什么也没介绍

确认删除?
VIP
微信客服
  • 扫码咨询
会员Q群
  • 会员专属群点击这里加入QQ群
客服邮箱
回到顶部