电脑桌面
添加小米粒文库到电脑桌面
安装后可以在桌面快捷访问

复变函数课后习题答案VIP免费

复变函数课后习题答案_第1页
1/64
复变函数课后习题答案_第2页
2/64
复变函数课后习题答案_第3页
3/64
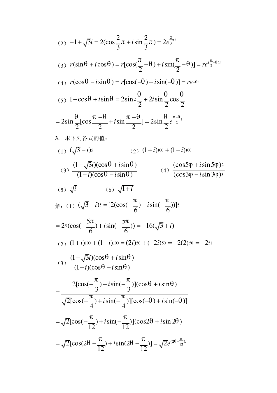
习题一答案 1. 求下列复数的实部、虚部、模、幅角主值及共轭复数: (1)132i (2) (1)(2)iii (3)131iii  (4)8214iii 解:(1)1323213izi, 因此:32Re, Im1313zz , 1232, argarctan, 3131313zzzi  (2)3(1)(2)1 310iiiziii , 因此,31Re, Im1010zz , 1131, argarctan, 3101010zzzi  (3)133335122iiiziii  , 因此,35Re, Im32zz , 34535, argarctan, 232izzz  (4)82141413ziiiiii        因此,Re1, Im3zz , 10, argarctan3, 1 3zzzi   2. 将下列复数化为三角表达式和指数表达式: (1)i (2) 13i  (3) (sincos )ri (4) (cossin )ri (5)1cossin (02 )i 解:(1)2cossin22iiie (2)13i 23222(cossin)233iie  (3)(sincos )ri()2[cos()sin()]22irire  (4)(cossin )ri[cos()sin()]irire  (5)21 cossin2sin2 sincos222ii 22sin[cossin]2sin2222iie  3. 求下列各式的值: (1)5( 3)i (2)100100(1)(1)ii (3)(13 )(cossin )(1)(cossin )iiii (4)23(cos5sin5 )(cos3sin3 )ii (5)3 i (6)1 i 解:(1)5( 3)i5[2(cos()sin())]66i 5552 (cos()sin())16( 3)66ii  (2)100100(1)(1)ii50505051(2 )( 2 )2(2)2ii    (3)(13 )(cossin )(1)(cossin )iiii 2[cos()sin()](cossin )332[cos()sin()][cos()sin()]44iiii 2[cos()sin()](cos2sin 2 )1212ii (2)122[cos(2)sin(2)]21212iie (4)23(cos5sin5 )(cos3sin3 )ii cos10sin10cos19sin19cos( 9 )sin( 9 )iii (5)3 i3 cossin22i 11cos (2)sin(2)3 23 2kik31 , 02231 , 122, 2ikikik...

1、当您付费下载文档后,您只拥有了使用权限,并不意味着购买了版权,文档只能用于自身使用,不得用于其他商业用途(如 [转卖]进行直接盈利或[编辑后售卖]进行间接盈利)。
2、本站所有内容均由合作方或网友上传,本站不对文档的完整性、权威性及其观点立场正确性做任何保证或承诺!文档内容仅供研究参考,付费前请自行鉴别。
3、如文档内容存在违规,或者侵犯商业秘密、侵犯著作权等,请点击“违规举报”。

碎片内容

复变函数课后习题答案

小辰4+ 关注
实名认证
内容提供者

出售各种资料和文档

相关文档

确认删除?
VIP
微信客服
  • 扫码咨询
会员Q群
  • 会员专属群点击这里加入QQ群
客服邮箱
回到顶部