电脑桌面
添加小米粒文库到电脑桌面
安装后可以在桌面快捷访问

数学整式的乘法十四——因式分解练习VIP免费

数学整式的乘法十四——因式分解练习_第1页
1/4
数学整式的乘法十四——因式分解练习_第2页
2/4
数学整式的乘法十四——因式分解练习_第3页
3/4
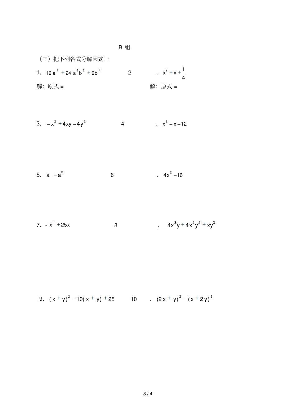
1 / 4 (八年级数学)整式的乘法( 十四 ) ——因式分解练习第周星期班别姓名学号一、学习目标:熟练掌握因式分解的的各种方法,并能运用因式分解解决有关问题。二、练习: A 组1、提公因式法因式分解(1)26xx = (2)4x2+6xy== (3)2226m nmn = (4)9123y23y=___________________ (5)2aman = (6)xnxm2216242、利用平方差公式因式分解(1)22yx=(2)219a=(2)29a= (4)2225nm=________________________ (5)221649yx=__________________ (6)22814yx=____________________ 3、利用完全平方公式因式分解(1)221yy=(2)222yxyx= (3)1682xx=(4)24129mm=(5)________________102522nmnm(6)2296baba=_______________ 4、利用十字相乘法因式分解(7)265xx= (8)256xx= (9)2412xx= (10)2524xx= 2 / 4 5、将下列多项式因式分解(1)2510a babc(2)81182aa(3)22816xxyy(4)225a(5)245aa(6)2441aa(7)220mm(8)291a(二)选择题:1.下列各式从左到右的变形中,是因式分解的是()(A)22()()abab ab(B)(23)(3)9aaa(C)245(4)5aaa a(D)2245(2)9aaa2.多项式2222333126x yx yx y 的公因式是()(A)223x y z( B)22x y(C)223x y(D)323x y z3、下列各式中,是完全平方式的是()(A)24x(B)214xx(C)224aa(D)224xy4、若225xmx是一个完全平方式,那么m 的值是()(A)10 (B)-10 (C)20(D)103 / 4 B 组(三)把下列各式分解因式: 1、422416249aa bb 2、214xx解:原式 = 解:原式 = 3、2244yxyx 4、212xx5、3aa 6、2416x7、-xx253 8、322344x yx yxy9、2()10()25xyxy 10、22(2)(2)xyxy4 / 4 ( 四) 用适当的方法计算:(1)225.05.19(2)2999999(3)22300600297297(4)2223 1019923 C组(五)把下列各式因式分解1、22()()xyx xy 2、224 abab解:原式 = 解:原式 = 3、22abab 4、323412xxx解:原式 = 解:原式 = (七)在分解因式时2xaxb 时,甲看错了a 的值,分解的结果是(6)(1)xx;乙看错了 b 的值,分解的结果是(2)(1)xx。那么2xaxb 分解因式正确的结果是多少?为什么?

1、当您付费下载文档后,您只拥有了使用权限,并不意味着购买了版权,文档只能用于自身使用,不得用于其他商业用途(如 [转卖]进行直接盈利或[编辑后售卖]进行间接盈利)。
2、本站所有内容均由合作方或网友上传,本站不对文档的完整性、权威性及其观点立场正确性做任何保证或承诺!文档内容仅供研究参考,付费前请自行鉴别。
3、如文档内容存在违规,或者侵犯商业秘密、侵犯著作权等,请点击“违规举报”。

碎片内容

数学整式的乘法十四——因式分解练习

爱的疯狂+ 关注
实名认证
内容提供者

该用户很懒,什么也没介绍

确认删除?
VIP
微信客服
  • 扫码咨询
会员Q群
  • 会员专属群点击这里加入QQ群
客服邮箱
回到顶部