电脑桌面
添加小米粒文库到电脑桌面
安装后可以在桌面快捷访问

柯西不等式练习题VIP免费

柯西不等式练习题_第1页
1/3
柯西不等式练习题_第2页
2/3
柯西不等式练习题_第3页
3/3
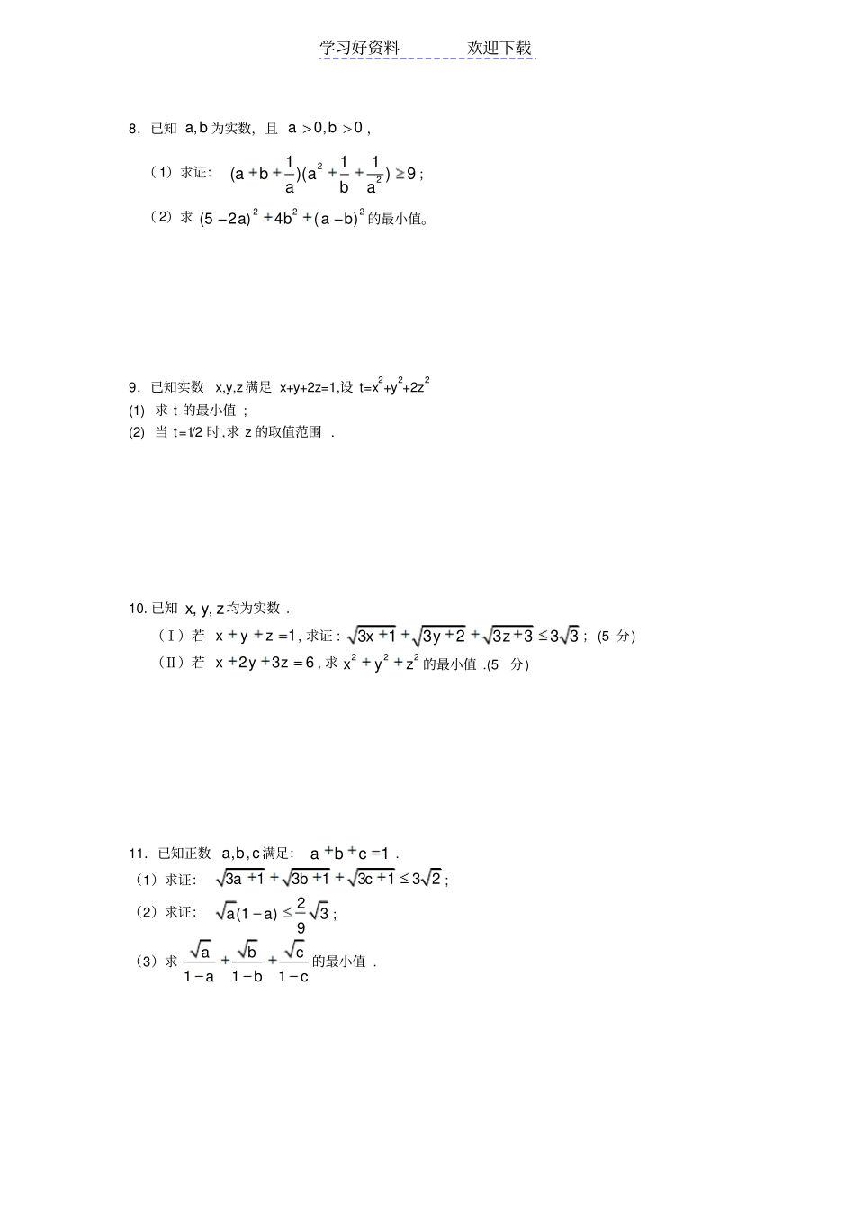
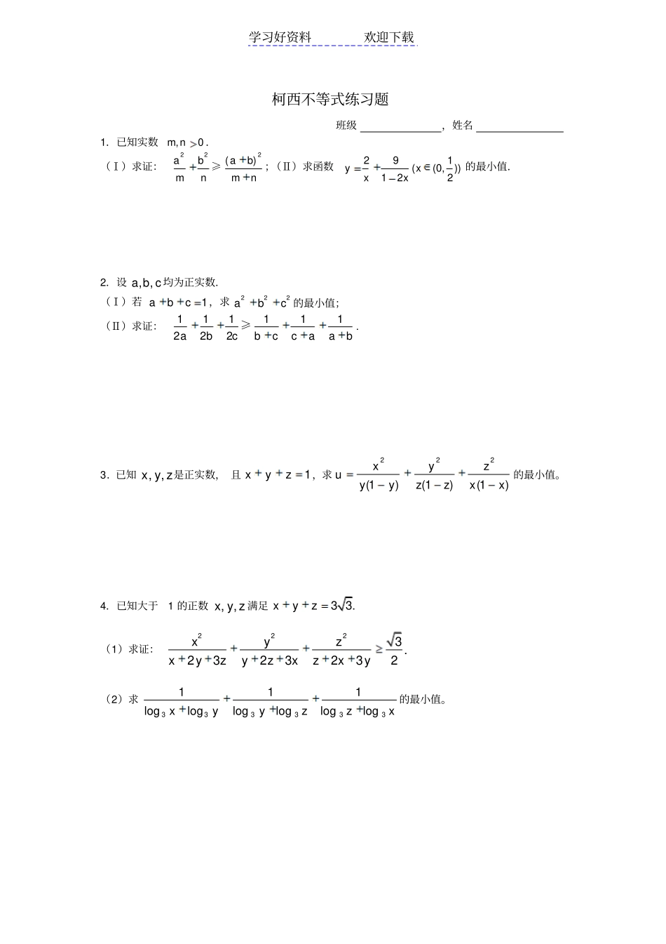
学习好资料欢迎下载柯西不等式练习题班级,姓名1.已知实数,0m n.(Ⅰ)求证:222()ababmnmn≥;(Ⅱ)求函数291((0,))122yxxx的最小值.2.设, ,a b c 均为正实数.(Ⅰ)若1abc,求222abc 的最小值;(Ⅱ)求证:111111222abcbccaab≥. 3.已知zyx,,是正实数, 且1zyx,求)1()1()1(222xxzzzyyyxu的最小值。4.已知大于1 的正数, ,x y z 满足3 3.xyz(1)求证:2223 .2323232xyzxyzyzxzxy(2)求333333111loglogloglogloglogxyyzzx的最小值。学习好资料欢迎下载5.设正数 x,y,z 满足 3451.xyz(1)求证:222150xyz;(2)求111xyyzzx的最小值.6.已知正数zyx,,满足10345zyx. (1) 求证 : 545953163425222yxzxzyzyx; (2) 求22299zyx的最小值 . 7.(I).求函数)(,2cos381sin23)(22Rxxxxf的最小值 . (II). 已知,,,,,222222nbmamnRbaRnm学习好资料欢迎下载8.已知,a b 为实数,且0,0ab,( 1)求证:22111()()9abaaba;( 2)求222(52 )4()abab的最小值。9.已知实数x,y,z满足 x+y+2z=1,设 t=x2+y2+2z2(1) 求 t 的最小值 ; (2) 当 t=1/2 时,求 z 的取值范围 . 10. 已知, ,x y z均为实数 . (Ⅰ)若1xyz, 求证 :3132333 3xyz;(5 分) (Ⅱ)若236xyz, 求222xyz 的最小值 .(5分) 11.已知正数, ,a b c 满足:1abc . (1)求证:3131313 2abc; (2)求证:2(1)39aa; (3)求111abcabc的最小值 .

1、当您付费下载文档后,您只拥有了使用权限,并不意味着购买了版权,文档只能用于自身使用,不得用于其他商业用途(如 [转卖]进行直接盈利或[编辑后售卖]进行间接盈利)。
2、本站所有内容均由合作方或网友上传,本站不对文档的完整性、权威性及其观点立场正确性做任何保证或承诺!文档内容仅供研究参考,付费前请自行鉴别。
3、如文档内容存在违规,或者侵犯商业秘密、侵犯著作权等,请点击“违规举报”。

碎片内容

柯西不等式练习题

文库当当响+ 关注
实名认证
内容提供者

该用户很懒,什么也没介绍

确认删除?
VIP
微信客服
  • 扫码咨询
会员Q群
  • 会员专属群点击这里加入QQ群
客服邮箱
回到顶部