电脑桌面
添加小米粒文库到电脑桌面
安装后可以在桌面快捷访问

洛比塔法则与高中数学老师版

洛比塔法则与高中数学老师版_第1页
1/10
洛比塔法则与高中数学老师版_第2页
2/10
洛比塔法则与高中数学老师版_第3页
3/10
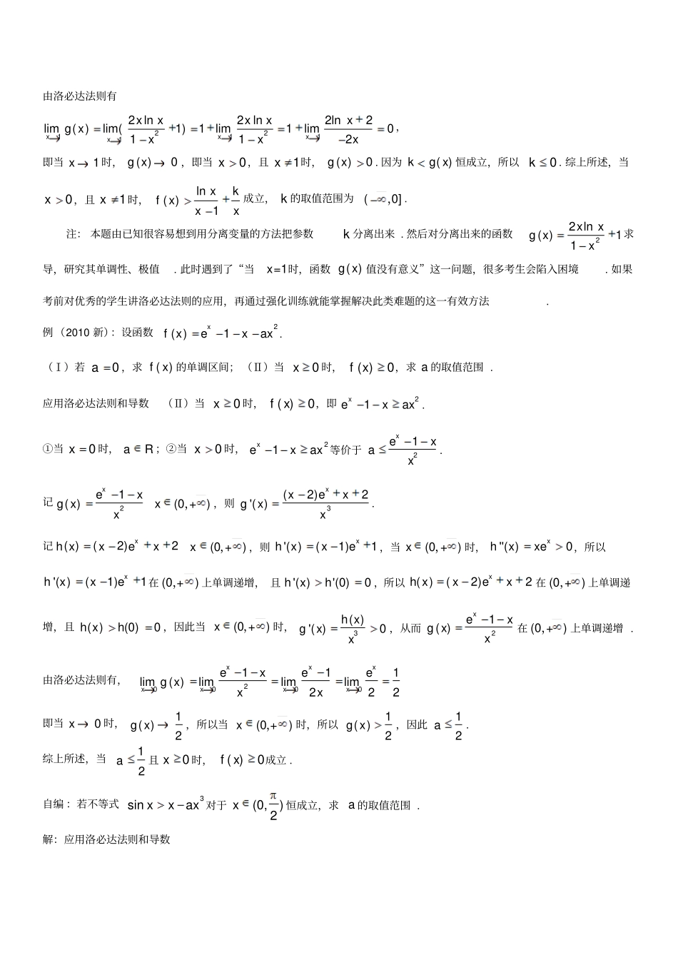
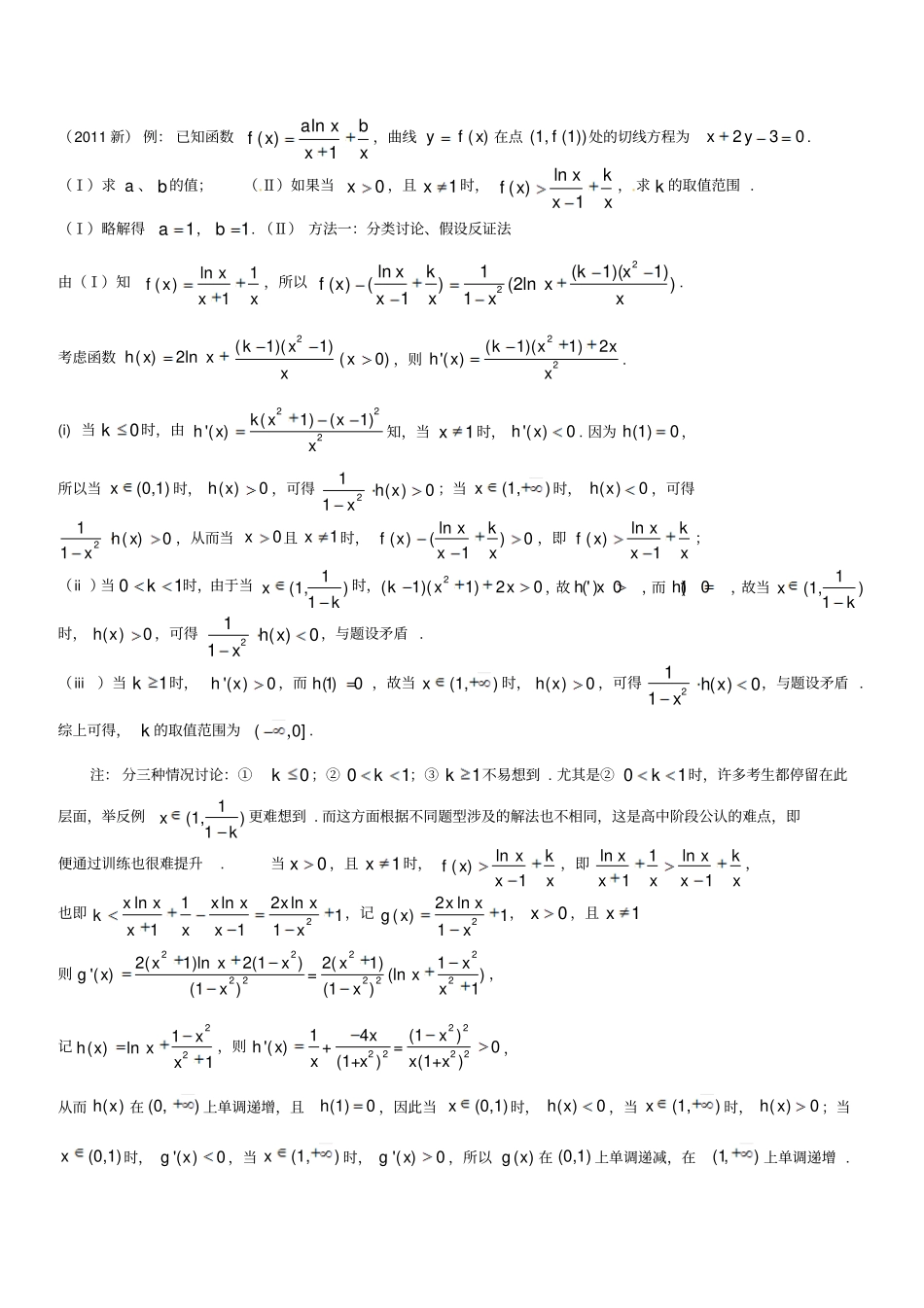
专题:利用洛必达法则巧解高中数学一.定理内容洛必达法则: 设函数( )f x 、( )g x 满足:(1) lim( )lim( )0xaxaf xg x(或);(2)在( )Ua 内,( )fx和( )g x 都存在,且( )0g x;(3)( )lim( )xafxAgx( A 可为实数,也可以是). 则( )( )limlim( )( )xaxaf xfxAg xgx. 【热身练习】 (1) 求lnlimxxx(2) 求311lim1xxx(3)求211lim34xxxx解:(1)lnln1limlimlim0xxxxxxxx(2)23331111211(1)23limlimlim311(1)2xxxxxxxxx(3)211111limlim34235xxxxxx二.定理应用例 1、(06 年全国卷 II 理第 20 题 )设函数( )(1)ln(1)f xxx。若对所有的0x,都有( )f xax 成立,求实数a 的取值范围。解:当0x时,显然成立,则aR当0x时,不等式( )f xax 成立即为( )(1)ln(1)f xxxaxx。令(1)ln(1)( )xxg xx,对( )g x 求导得2ln(1)( )xxg xx令( )ln(1)h xxx, 则1()10(0 )11xh xxxx,( )h x在0,上 为 增 函 数( )(0)h xh=0 , 所 以2l n (1 )( )xxg xx>0 , 所 以( )g x在0,上 是 增 函 数 。000()(1 ) l n (1 )l n (1 )1l i ml i ml i m11xxxfxxxxxx,所以1a。综合上述所知:1a例 3、(06 年重庆卷理第20 题) 已知函数2( )()xf xxbxc e ,其中,b cR 为常数。(I)若24(1)bc,讨论函数( )f x 的单调性;(II)(II) 若24(1)bc,且0( )lim4,xf xcx试证:62b(2011 新) 例: 已知函数ln( )1axbf xxx,曲线( )yf x 在点 (1, (1))f处的切线方程为230xy. (Ⅰ)求 a 、 b的值;( Ⅱ)如果当0x,且1x时,ln( )1xkf xxx, 求 k 的取值范围 . (Ⅰ)略解得1a,1b. (Ⅱ) 方法一:分类讨论、假设反证法由(Ⅰ)知ln1( )1xf xxx,所以22ln1(1)(1)( )()(2ln)11xkkxf xxxxxx. 考虑函数( )2lnh xx2(1)(1)kxx(0)x,则22(1)(1)2'( )kxxh xx. (i) 当0k时,由222(1)(1)'( )k xxh xx知,当1x时,'( )0h x. 因为(1)0h,所以当(0,1)x时,( )0h x,可得21( )01h xx;当(1,)x时,( )0h x,可得21( )01h xx,从而当0x且1x时,ln( )()01xkf xxx,即ln( )1xkf xxx;(ii )当 01k时,由于当1(1,)1xk时,2(1)(1)20kxx,故'( )0h x,而(1)0h,故当1(1,)1xk时,( )0h x,可得21( )01h xx,与题设矛盾 . (iii)当1k时,'( )0h x,而(1)0h,故当(1,)x时,( )0h x,可得21( )01h xx,与题设...

1、当您付费下载文档后,您只拥有了使用权限,并不意味着购买了版权,文档只能用于自身使用,不得用于其他商业用途(如 [转卖]进行直接盈利或[编辑后售卖]进行间接盈利)。
2、本站所有内容均由合作方或网友上传,本站不对文档的完整性、权威性及其观点立场正确性做任何保证或承诺!文档内容仅供研究参考,付费前请自行鉴别。
3、如文档内容存在违规,或者侵犯商业秘密、侵犯著作权等,请点击“违规举报”。

碎片内容

洛比塔法则与高中数学老师版

确认删除?
VIP
微信客服
  • 扫码咨询
会员Q群
  • 会员专属群点击这里加入QQ群
客服邮箱
回到顶部