电脑桌面
添加小米粒文库到电脑桌面
安装后可以在桌面快捷访问

特征方程法求递推数列通项公式

特征方程法求递推数列通项公式_第1页
1/11
特征方程法求递推数列通项公式_第2页
2/11
特征方程法求递推数列通项公式_第3页
3/11
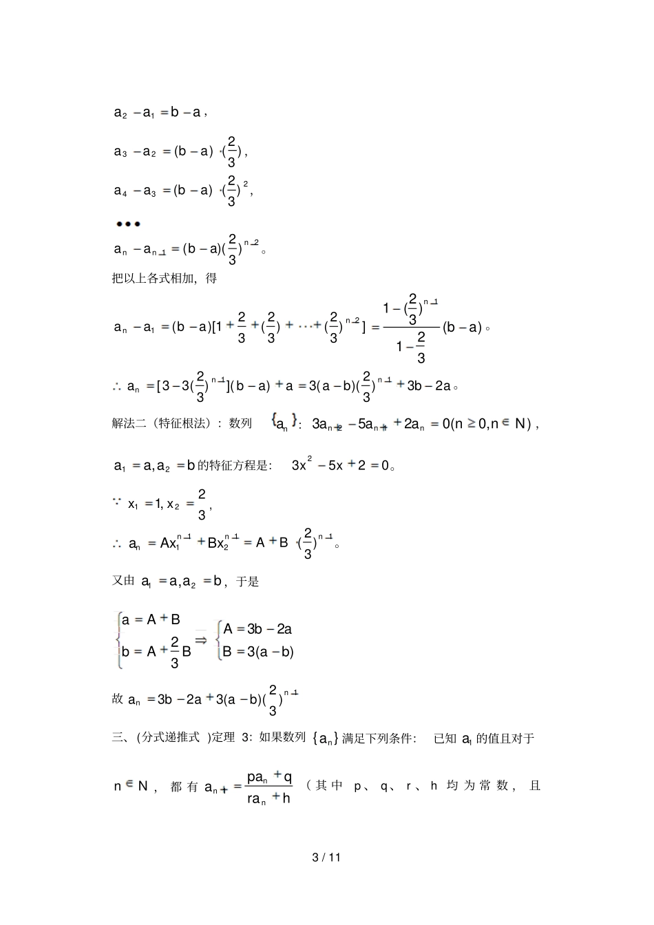
1 / 11 特征方程法求解递推关系中的数列通项一、(一阶线性递推式)设已知数列}{na的项满足dcaabann 11,,其中,1,0 cc求这个数列的通项公式。采用数学归纳法可以求解这一问题,然而这样做太过繁琐,而且在猜想通项公式中容易出错,本文提出一种易于被学生掌握的解法——特征方程法:针对问题中的递推关系式作出一个方程,dcxx称之为特征方程;借助这个特征方程的根快速求解通项公式.下面以定理形式进行阐述. 定理 1:设上述递推关系式的特征方程的根为0x ,则当10ax时,na为常数列,即0101,;xbaaxaannn时当,其中}{nb是以 c 为公比的等比数列,即01111,xabcbbnn. 证 明 : 因 为,1,0c由 特 征 方 程 得.10cdx作 换 元,0xabnn则.)(110011nnnnnncbxacccdcacddcaxab当10ax时,01b,数列}{nb是以 c 为公比的等比数列,故;11nncbb当10ax时,01b,}{nb为 0 数列,故.N,1 naan(证毕)下面列举两例,说明定理1 的应用 . 例 1.已知数列}{na满足:,4,N,23111anaann求.na解:作方程.23,2310xxx则当41a时,.21123,1101abxa数列}{nb是以31为公比的等比数列.于是.N,)31(2112323,)31(211)31(1111nbabbnnnnnn例 2.已知数列}{na满足递推关系:,N,)32(1niaann其中 i 为虚数2 / 11 单位。当1a 取何值时,数列}{na是常数数列?解 : 作 方 程,)32(ixx则.5360ix要 使na 为 常 数 , 即 则 必 须.53601ixa二、(二阶线性递推式)定理2:对于由递推公式nnnqapaa12,21,aa给出的数列na,方程02qpxx,叫做数列na的特征方程。若21, xx是 特 征 方 程 的 两 个 根 , 当21xx时 , 数 列na的 通 项 为1211nnnBxAxa,其中 A,B 由21, aa决定(即把2121,,,xxaa和2,1n,代入1211nnnBxAxa,得到关于 A、B 的方程组) ;当21xx时,数列na的通项为11)(nnxBAa,其中 A ,B 由21, aa决定(即把2121,,,xxaa和2,1n,代入11)(nnxBnAa,得到关于 A 、B的方程组)。例3:已知数列na满足),0(0253,,1221Nnnaaabaaannn,求数列na的通项公式。解法一(待定系数——迭加法)由025312nnnaaa,得)(32112nnnnaaaa,且abaa12。则数列nnaa1是以ab为首项,32 为公比的等比数列,于是11)32)((nnnabaa。把nn,,3,2,1代入,得3 / 11 abaa12,)32()(23abaa,234)32()(abaa,21)32)((nnnabaa。把以上各式相加,得])32()32(321)[(21nnabaa)(321)32(11abn。abbaaabannn23)32)((3)]()32(33[11。解法二(特征根法):数列na...

1、当您付费下载文档后,您只拥有了使用权限,并不意味着购买了版权,文档只能用于自身使用,不得用于其他商业用途(如 [转卖]进行直接盈利或[编辑后售卖]进行间接盈利)。
2、本站所有内容均由合作方或网友上传,本站不对文档的完整性、权威性及其观点立场正确性做任何保证或承诺!文档内容仅供研究参考,付费前请自行鉴别。
3、如文档内容存在违规,或者侵犯商业秘密、侵犯著作权等,请点击“违规举报”。

碎片内容

特征方程法求递推数列通项公式

爱的疯狂+ 关注
实名认证
内容提供者

该用户很懒,什么也没介绍

确认删除?
VIP
微信客服
  • 扫码咨询
会员Q群
  • 会员专属群点击这里加入QQ群
客服邮箱
回到顶部