电脑桌面
添加小米粒文库到电脑桌面
安装后可以在桌面快捷访问

直线方程与直线位置关系VIP专享

直线方程与直线位置关系_第1页
1/5
直线方程与直线位置关系_第2页
2/5
直线方程与直线位置关系_第3页
3/5
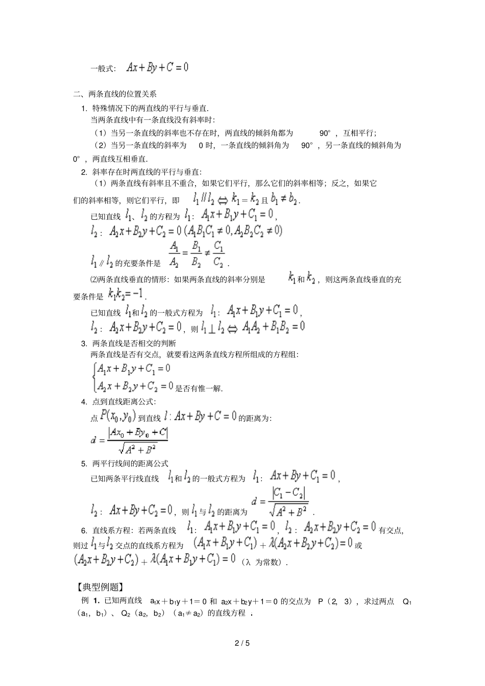
1 / 5 一. 教学内容:直线方程与直线的位置关系二. 本周教学目标:1、理解直线的倾斜角和斜率的概念,掌握过两点的直线的斜率公式,掌握由一点和斜率导出直线方程的方法;掌握直线方程的点斜式、两点式和直线方程的一般式,并能根据条件熟练地求出直线方程.2、掌握两条直线相交、平行、垂直、重合等位置关系的判别方法,点到直线的距离公式及两条平行线间的距离公式.[教学过程]一、直线方程1. 数轴上两点间距离公式:.2. 直角坐标平面内的两点间距离公式:3. 直线的倾斜角:在平面直角坐标系中,对于一条与x 轴相交的直线,如果把x 轴绕着交点按逆时针方向旋转到和直线重合时所转的最小正角记为α ,那么 α 就叫做直线的倾斜角.当直线和 x 轴平行或重合时,我们规定直线的倾斜角为0°可见,直线倾斜角的取值范围是0° ≤ α <180° .4. 直线的斜率:倾斜角α 不是 90° 的直线,它的倾斜角的正切叫做这条直线的斜率,常用 k 表示,即 k=tanα (α ≠90° ).倾斜角是90° 的直线没有斜率;倾斜角不是90 ° 的直线都有斜率,其取值范围是(-∞,+∞).5. 直线的方向向量:设F1( x1,y1)、 F2(x2,y2)是直线上不同的两点,则向量=(x 2-x1, y2-y1)称为直线的方向向量.向量=( 1,)=( 1,k)也是该直线的方向向量,k 是直线的斜率.特别地,垂直于轴的直线的一个方向向量为=( 0, 1).6. 求直线斜率的方法①定义法:已知直线的倾斜角为α ,且 α ≠90° ,则斜率k=tanα .②公式法: 已知直线过两点P1(x 1,y 1)、P2(x 2,y2),且 x1≠x 2,则斜率 k=.③方向向量法:若=( m,n)为直线的方向向量,则直线的斜率k=.平面直角坐标系内,每一条直线都有倾斜角,但不是每一条直线都有斜率.对于直线上任意两点P1(x 1, y1)、 P2(x 2,y 2),当 x1=x2 时,直线斜率k 不存在,倾斜角 α =90° ;当 x1≠x 2 时,直线斜率存在,是一实数.7. 直线方程的五种形式点斜式:,斜截式:两点式:,截距式:2 / 5 一般式:二、两条直线的位置关系1. 特殊情况下的两直线的平行与垂直.当两条直线中有一条直线没有斜率时:(1)当另一条直线的斜率也不存在时,两直线的倾斜角都为90° ,互相平行;(2)当另一条直线的斜率为0 时,一条直线的倾斜角为90° ,另一条直线的倾斜角为0° ,两直线互相垂直.2. 斜率存在时两直线的平...

1、当您付费下载文档后,您只拥有了使用权限,并不意味着购买了版权,文档只能用于自身使用,不得用于其他商业用途(如 [转卖]进行直接盈利或[编辑后售卖]进行间接盈利)。
2、本站所有内容均由合作方或网友上传,本站不对文档的完整性、权威性及其观点立场正确性做任何保证或承诺!文档内容仅供研究参考,付费前请自行鉴别。
3、如文档内容存在违规,或者侵犯商业秘密、侵犯著作权等,请点击“违规举报”。

碎片内容

直线方程与直线位置关系

确认删除?
VIP
微信客服
  • 扫码咨询
会员Q群
  • 会员专属群点击这里加入QQ群
客服邮箱
回到顶部