电脑桌面
添加小米粒文库到电脑桌面
安装后可以在桌面快捷访问

弹性力学王光钦课后答案

弹性力学王光钦课后答案_第1页
1/40
弹性力学王光钦课后答案_第2页
2/40
弹性力学王光钦课后答案_第3页
3/40
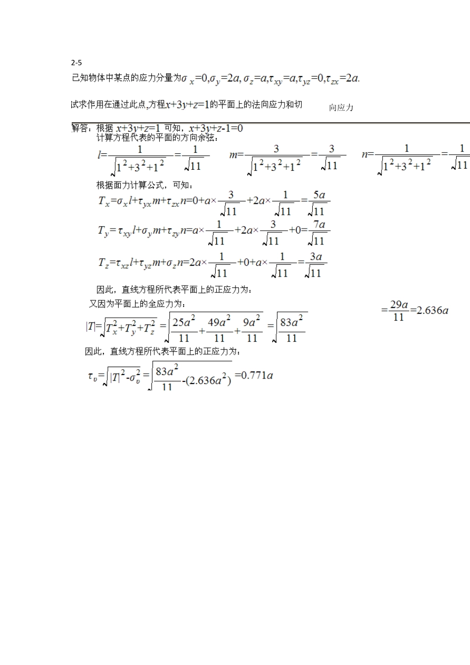
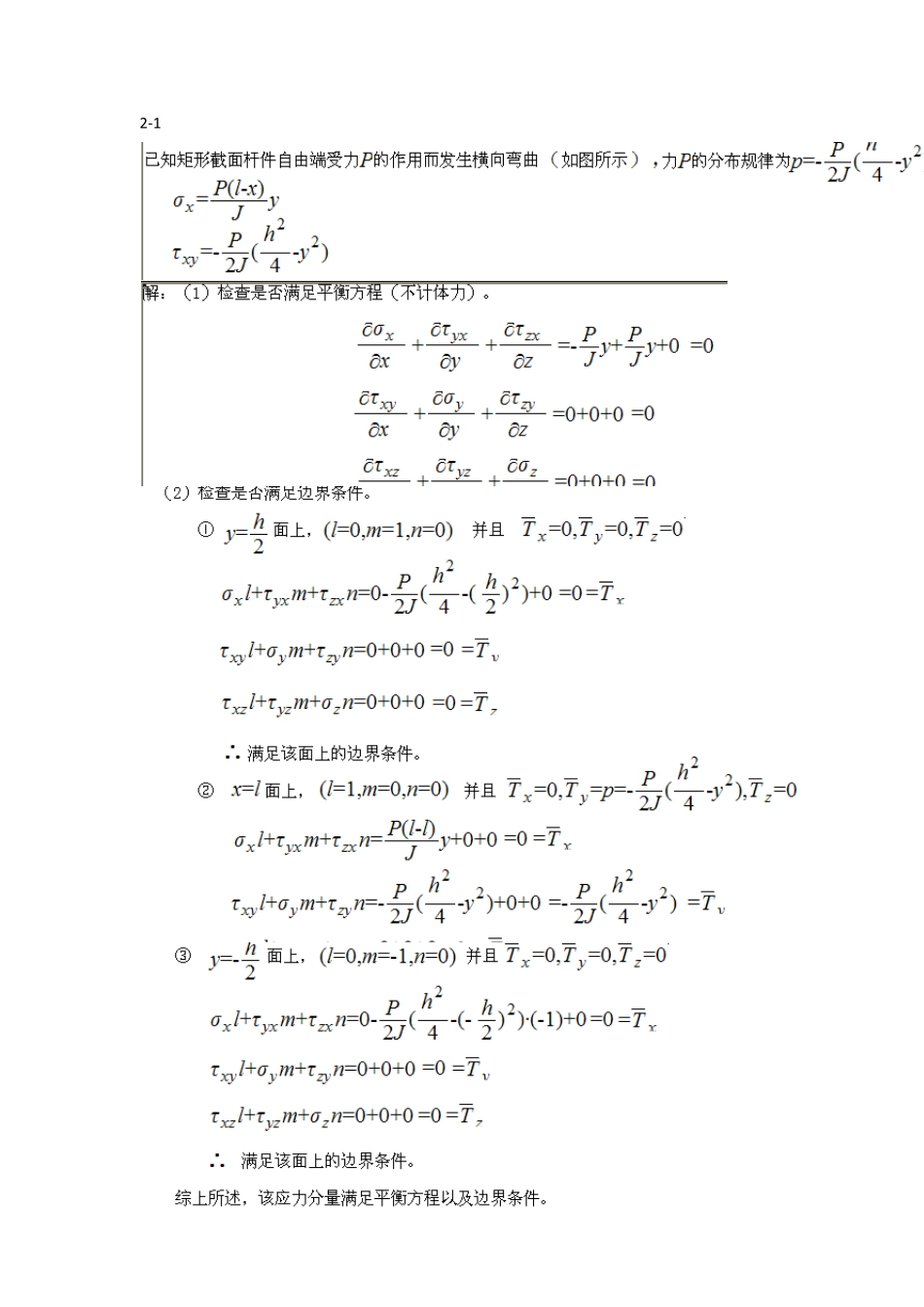
2-1 2 -2 2-5 向应力 2-7 2-8 2-9 2-11 2-12 2-13 2-15 3-4 3-5 3-6 42=-(1- ')Vϕν∇∇ 3-7 3-9 3-10 q 0l/3 3-11 接上面 D B 3-12 接上文 3-13 Y Y 3-14 3-15 4-3 4 -4 4-5 4-6(筒套筒) 4-7 4-8 4-9 4-11 设有一内半径为a,外半径为b 的薄圆环,内壁固定、外壁受均布剪力作用,球圆环的应力与位移,(提示Cϕθ=) 4-12 4-13 (0 ,0 ,3 0 ) (0 ,0 ,2 0 ) (3 0 ,2 0 ,0 ) 5 -4 5 -3 5 -1 0

1、当您付费下载文档后,您只拥有了使用权限,并不意味着购买了版权,文档只能用于自身使用,不得用于其他商业用途(如 [转卖]进行直接盈利或[编辑后售卖]进行间接盈利)。
2、本站所有内容均由合作方或网友上传,本站不对文档的完整性、权威性及其观点立场正确性做任何保证或承诺!文档内容仅供研究参考,付费前请自行鉴别。
3、如文档内容存在违规,或者侵犯商业秘密、侵犯著作权等,请点击“违规举报”。

碎片内容

弹性力学王光钦课后答案

确认删除?
VIP
微信客服
  • 扫码咨询
会员Q群
  • 会员专属群点击这里加入QQ群
客服邮箱
回到顶部