电脑桌面
添加小米粒文库到电脑桌面
安装后可以在桌面快捷访问

有乘方的有理数混合运算

有乘方的有理数混合运算_第1页
1/6
有乘方的有理数混合运算_第2页
2/6
有乘方的有理数混合运算_第3页
3/6
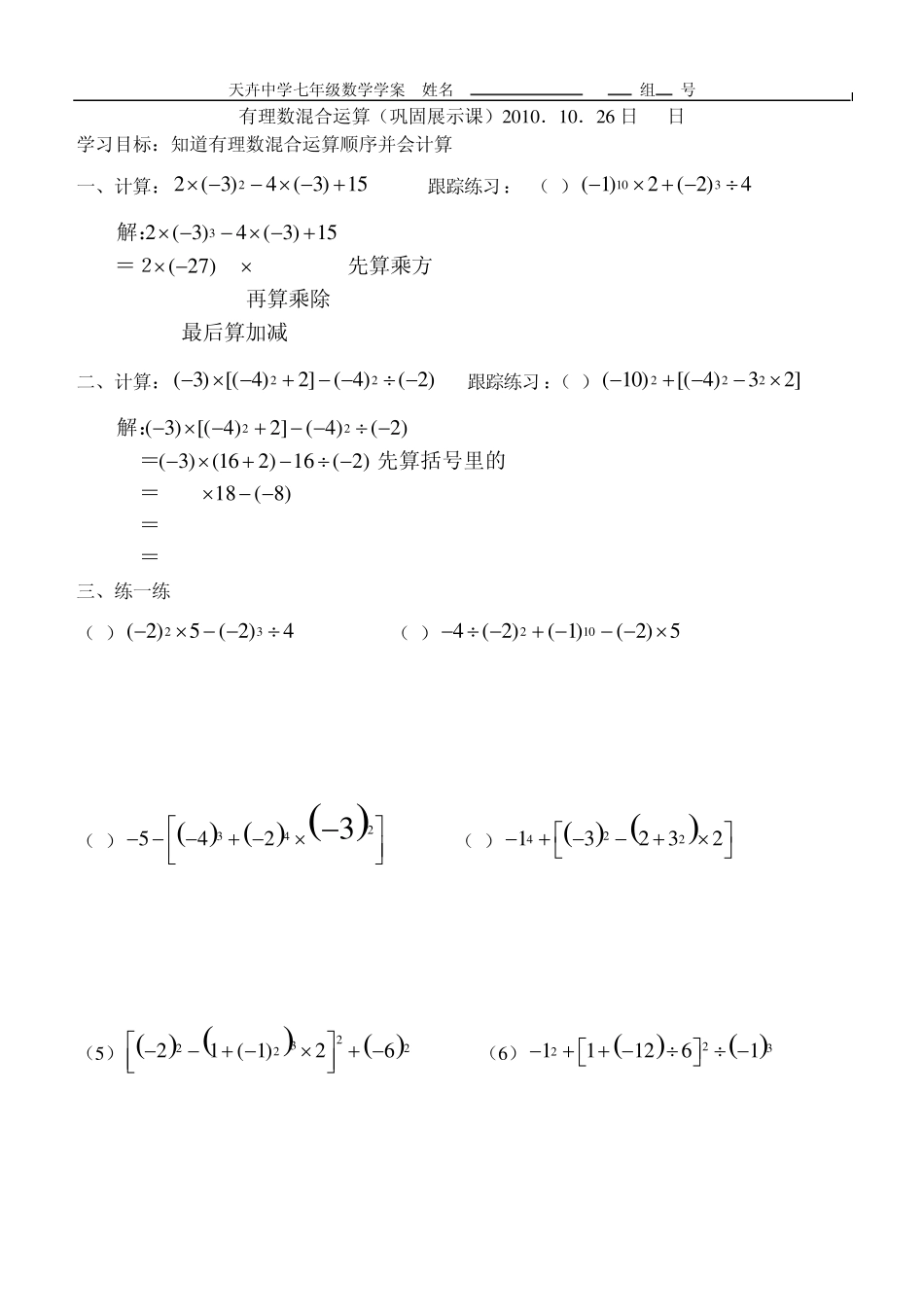
天卉中学七年级数学学案 姓名 组 号 有理数混合运算(巩固展示课)2010.10.26 日27日 学习目标:知道有理数混合运算顺序并会计算. 一、计算:22 ( 3)4 ( 3)15   . 跟踪练习: (1)103( 1)2( 2)4   32 ( 3)4 ( 3) 15( 27)    解:=2-4(-3)+15 (先算乘方)=-54+12+15 (再算乘除)=-27 (最后算加减) 二、计算:22( 3) [( 4)2] ( 4)( 2)    跟踪练习:(2)222( 10)[( 4)32]  22( 3) [( 4)2] ( 4)( 2)( 3) (162) 16( 2)18( 8)     解: =(先算括号里的) =(-3) =-54+8 =-46 三、练一练 (1)23( 2)5( 2)4   (2)2104( 2)( 1)( 2) 5     (3) 2345423   (4)   24213232 (5) 2322221( 1)26   (6) 232111261   天卉中学七年级数学学案 姓名 组 号 有理数混合运算当堂检测 A卷 姓名 评分 (1)43116( 2)( 5)4   (2 )  52223122 有理数混合运算当堂检测 B卷 姓名 评分 (1)4221( 3)28( 2)     (2 )  24213232 有理数混合运算当堂检测 A卷 姓名 评分 (1)43116( 2)( 5)4   (2 )  52223122 有理数混合运算当堂检测 B卷 姓名 评分 (1)4221( 3)28( 2)     (2 )  24213232 天卉中学七年级数学学案 姓名 组 号 有理数混合运算(巩固展示课)2010.10.28---29 学习目标:会熟练进行有理数混合运算. (1)1275302 (2)6121651212 (3))43(875.3 (4)45113)2131(511 (5)3145 ()2   (6)33 [ 5(1 0.2)( 2)]5     (7)4211[2( 3) ]6  (8)3483 ( 1)( 1)     (9)3213( 0.1)()45  (10) 1 [124 (3 10)]   (11) 1031224 ...

1、当您付费下载文档后,您只拥有了使用权限,并不意味着购买了版权,文档只能用于自身使用,不得用于其他商业用途(如 [转卖]进行直接盈利或[编辑后售卖]进行间接盈利)。
2、本站所有内容均由合作方或网友上传,本站不对文档的完整性、权威性及其观点立场正确性做任何保证或承诺!文档内容仅供研究参考,付费前请自行鉴别。
3、如文档内容存在违规,或者侵犯商业秘密、侵犯著作权等,请点击“违规举报”。

碎片内容

有乘方的有理数混合运算

您可能关注的文档

小辰5+ 关注
实名认证
内容提供者

出售各种资料和文档

相关文档

确认删除?
VIP
微信客服
  • 扫码咨询
会员Q群
  • 会员专属群点击这里加入QQ群
客服邮箱
回到顶部