电脑桌面
添加小米粒文库到电脑桌面
安装后可以在桌面快捷访问

导数构造新函数——同构法

导数构造新函数——同构法_第1页
1/9
导数构造新函数——同构法_第2页
2/9
导数构造新函数——同构法_第3页
3/9
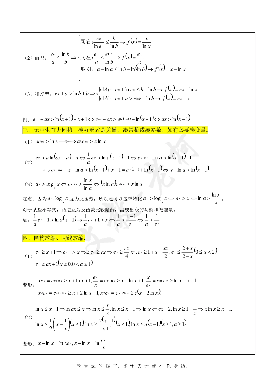
欣 赏 您 的 孩 子 , 其 实 天 才 就 在 你 身 边 ! 课 题 同 构 新 天 地 , 放 缩 大 舞 台 考 点 分 析 在 成 立 或 恒 成 立 命 题 中 , 很 有 一 部 分 题 是 命 题 者 利 用 函 数 单 调 性 构 造 出 来 的 , 如 果 我 们 能 找 到这 个 函 数 模 型 ( 即 不 等 式 两 边 对 应 的 同 一 函 数 ), 无 疑 大 大 加 快 解 决 问 题 的 速 度 . 找 到 这 个 函数 模 型 的 方 法 , 我 们 就 称 为 同 构 法 . 授课内容 在 成 立 或 恒 成 立 命 题 中 , 很 有 一 部 分 题 是 命 题 者 利 用 函 数 单 调 性 构 造 出 来 的 , 如 果 我 们 能 找 到 这 个 函 数模 型 ( 即 不 等 式 两 边 对 应 的 同 一 函 数 ), 无 疑 大 大 加 快 解 决 问 题 的 速 度 . 找 到 这 个 函 数 模 型 的 方 法 , 我 们 就 称为 同 构 法 . 如 , 若 0xF能 等 价 变 形 为  xhfxgf, 然 后 利 用 xf的 单 调 性 , (如 递 增 , 再 转 化 为  xhxg), 这 种 方 法 我 们 就 可 以 称 为 同 构 不 等 式 ( 等 号 成 立 时 , 称 为 同 构 方 程 ), 简 称 同 构 法 . 当 然 , 用同 构 法 解 题 , 除 了 要 有 同 构 法 的 思 想 意 识 外 , 对 观 察 能 力 、 对 代 数 式 的 变 形 能 力 的 要 求 也 是 比 较 高 的 . 正 所谓 , 同 构 解 题 , 观 察 第一 ! 同 构 出 马, 谁与争锋! 同 构 思 想 放 光芒, 转 化 之后 天 地 宽! 一 、 地 位同 等 要 同 构 , 主要 针对 双变 量;方 程 组上下同 构 , 合二为 一 泰山移. ( 1)       为 增 函 数 。kxxfykxxfkxxfkxkxxfxfxxkxxxfxf22112121212121 ( 2)       为 减函 数 。xkxfyxkxfxkxfxxxxkxfxfxxxxkxxxfxf221121212121212121 含有 地 位同 等 ...

1、当您付费下载文档后,您只拥有了使用权限,并不意味着购买了版权,文档只能用于自身使用,不得用于其他商业用途(如 [转卖]进行直接盈利或[编辑后售卖]进行间接盈利)。
2、本站所有内容均由合作方或网友上传,本站不对文档的完整性、权威性及其观点立场正确性做任何保证或承诺!文档内容仅供研究参考,付费前请自行鉴别。
3、如文档内容存在违规,或者侵犯商业秘密、侵犯著作权等,请点击“违规举报”。

碎片内容

导数构造新函数——同构法

小辰+ 关注
实名认证
内容提供者

出售各种文档和资料

相关文档

确认删除?
VIP
微信客服
  • 扫码咨询
会员Q群
  • 会员专属群点击这里加入QQ群
客服邮箱
回到顶部