电脑桌面
添加小米粒文库到电脑桌面
安装后可以在桌面快捷访问

八年级数学(上)分式单元测试题及答案

八年级数学(上)分式单元测试题及答案_第1页
1/7
八年级数学(上)分式单元测试题及答案_第2页
2/7
八年级数学(上)分式单元测试题及答案_第3页
3/7
八年级数学(上)分式单元测试 一、选择题 1. 下列各式:2221451, , , 532xxyxxx其中分式共有( ) A.1 个 B.2 个 C.3 个 D.4 个 2.下列计算正确的是( ) A.mmmxxx2 B.22nnxx C.3332 xxx D.264xxx 3. 下列约分正确的是( ) A.313mmm B.212yxyx C.123369abab D.yxabybax 4.若x、y 的值均扩大为原来的2 倍,则下列分式的值保持不变的是( ) A.yx23 B.223yx C.yx232 D.2323yx 5.计算xx1111的正确结果是( ) A.0 B.212xx C.212x D.122 x 6. 在一段坡路,小明骑自行车上坡的速度为每小时V1千米,下坡时的速度为每小时V2千米,则他在这段路上、下坡的平均速度是每小时( ) A.221vv 千米 B.2121vvvv千米 C.21212vvvv千米 D.无法确定 7. 某厂接到加工720 件衣服的订单,预计每天做48 件,正好按时完成,后因客户要求提前5 天交货,设每天应多做x 件,则x 应满足的方程为( ) A.x4 87 2 0─54 87 2 0  B.x4 87 2 054 87 2 0 C.57 2 04 87 2 0x D.4 87 2 0x4 87 2 0=5 8. 若0yxxy,则分式  xy11( ) A.xy1 B.xy  C.1 D.-1 9. 已知 xyxy=1,yzyz=2,zxzx=3,则x 的值是( ) A.1 B.125 C. 512 D.-1 10.小明骑自行车沿公路以akm/h的速度行走全程的一半,又以bkm/h的速度行走余下的一半路程;小明骑自行车以akm/h的速度走全程时间的一半,又以bkm/h的速度行走另一半时间(ab),则谁走完全程所用的时间较少?( ) A.小明 B.小刚 C.时间相同 D.无法确定 二、填空题 11. 分式12x ,212y ,15xy的最简公分母为 . 12. 约分:(1) baab2205__________,(2)96922xxx__________. 13. 方程xx527的解是 . 14. 使分式2341xx的值是负数x的取值范围是 . 15. 一项工程,甲单独做x 小时完成,乙单独做y 小时完成,则两人一起完成这项工程需要__________小时. 16. 一个两位数的十位数字是6,如果把十位数字与个位数字对调,那么所得的两位数与原来的两位数之比是74,原来得两位数是______________. 17. 若13xx ,则4221xxx__________. 18. 对于正数x,规定f(x)= x1x,例如f(3)=331 34,f(13 )=1131413,...

1、当您付费下载文档后,您只拥有了使用权限,并不意味着购买了版权,文档只能用于自身使用,不得用于其他商业用途(如 [转卖]进行直接盈利或[编辑后售卖]进行间接盈利)。
2、本站所有内容均由合作方或网友上传,本站不对文档的完整性、权威性及其观点立场正确性做任何保证或承诺!文档内容仅供研究参考,付费前请自行鉴别。
3、如文档内容存在违规,或者侵犯商业秘密、侵犯著作权等,请点击“违规举报”。

碎片内容

八年级数学(上)分式单元测试题及答案

小辰4+ 关注
实名认证
内容提供者

出售各种资料和文档

确认删除?
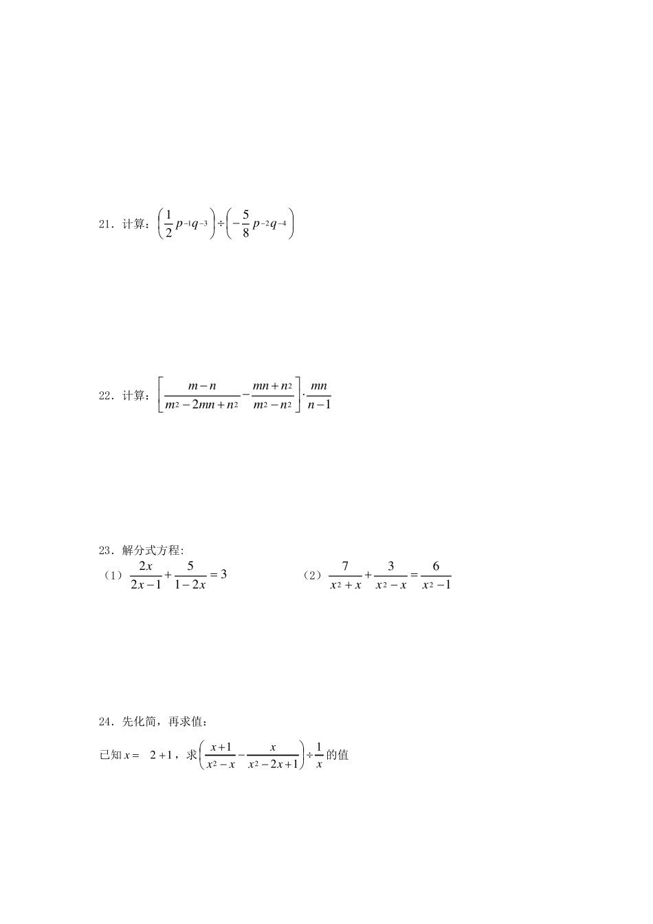
VIP
微信客服
  • 扫码咨询
会员Q群
  • 会员专属群点击这里加入QQ群
客服邮箱
回到顶部