电脑桌面
添加小米粒文库到电脑桌面
安装后可以在桌面快捷访问

概率论与数理统计

概率论与数理统计_第1页
1/14
概率论与数理统计_第2页
2/14
概率论与数理统计_第3页
3/14
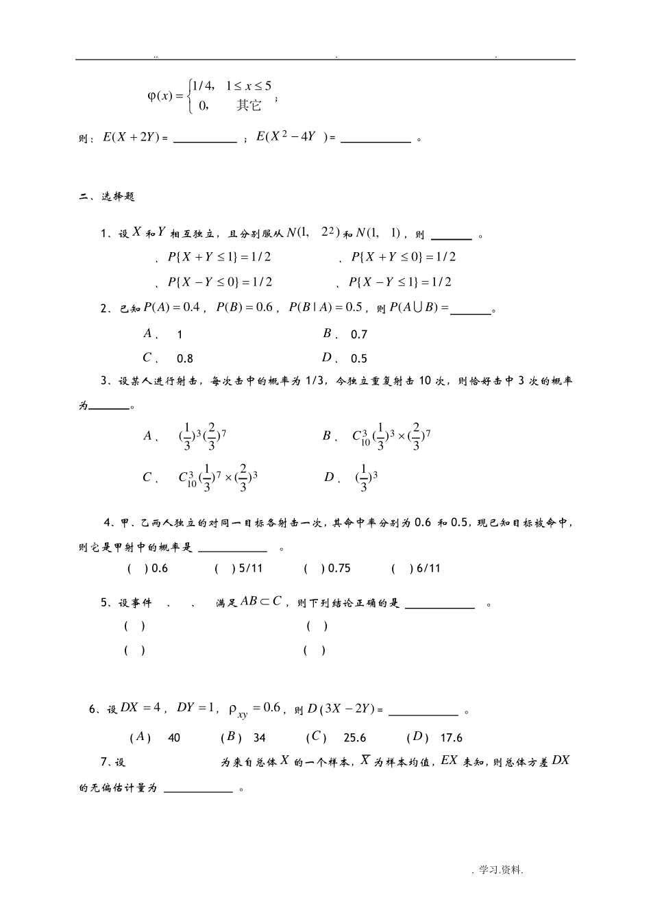
.. . . . 学习.资料. 《概率论与数理统计》综合复习资料 一、填空题 1、一个盒子中有 10 个球,其中有 3 个红球,2 个黑球,5 个白球,从中取球两次,每次取一个(无放回),则:第二次取到黑球的概率为 ; 取到的两只球至少有一个黑球的概率为 。 2、的概率密度为 (),则DX 。 3 、 已 知 随 机 变 量且与相 互 独 立 , 设 随 机 变 量52YXZ,则EX ; DX 。 4、已知随机变量 X 的分布列为 -1 0 2 0.4 0.2 p 则: EX = ; = 。 5、设与独立同分布,且)2,2(~2NX,则(= 。 6 、 设 对 于 事 件、有,121)(ABCP,81)()()(ACPBCPABP,则、都不发生的概率为 。 7、批产品中一、二、三等品各占 60%、30%、10%,从中任取一件,结果不是三等品,则取到的是二等品的概率为 。 8、相互独立,且概率分布分别为 2)1(1)(xexf () ; 其它,,0312/1)(yy 则:)(YXE= ; )32(2YXE= 。 9、已知工厂生产产品的次品率分别为 2%和 1%,现从由工厂分别占 30%和 70%的一批产品中随机抽取一件,发现是次品,则该产品是 B 工厂的概率为 。 10、设YX、的概率分布分别为 .. . . . 学习.资料. 其它,,0514/1)(xx; 则:)2(YXE= ;)4(2YXE= 。 二、选择题 1、设 X 和Y 相互独立,且分别服从)2,1(2N和)1,1(N,则 。 .2/1}1{ YXP .2/1}0{ YXP .2/1}0{ YXP .2/1}1{ YXP 2、已知4.0)(AP,6.0)(BP,5.0)|(ABP,则)(BAP 。 A . 1 B . 0.7 C . 0.8 D . 0.5 3、设某人进行射击,每次击中的概率为 1/3,今独立重复射击 10 次,则恰好击中 3 次的概率为 。 A . 73)32()31( B . 73310)32()31(C C . 37310)32()31(C D . 3)31( 4、甲、乙两人独立的对同一目标各射击一次,其命中率分别为 0.6 和 0.5,现已知目标被命中,则它是甲射中的概率是 。 () 0.6 () 5/11 () 0.75 () 6/11 5、设事件、、满足CAB ,则下列结论正确的是 。 () () () () 6、设4DX,1DY,6.0xy,则 D ()23YX = 。 ( A ) 40 ( B ) 34 (C ) 25.6 ( D ) 17.6 7、设为来自总体 X 的一个样本,X 为样本均值,EX 未知,则总体方差 DX的无偏估计量为 。 .. . . . 学习.资料. )(A21)(11...

1、当您付费下载文档后,您只拥有了使用权限,并不意味着购买了版权,文档只能用于自身使用,不得用于其他商业用途(如 [转卖]进行直接盈利或[编辑后售卖]进行间接盈利)。
2、本站所有内容均由合作方或网友上传,本站不对文档的完整性、权威性及其观点立场正确性做任何保证或承诺!文档内容仅供研究参考,付费前请自行鉴别。
3、如文档内容存在违规,或者侵犯商业秘密、侵犯著作权等,请点击“违规举报”。

碎片内容

概率论与数理统计

您可能关注的文档

确认删除?
VIP
微信客服
  • 扫码咨询
会员Q群
  • 会员专属群点击这里加入QQ群
客服邮箱
回到顶部