电脑桌面
添加小米粒文库到电脑桌面
安装后可以在桌面快捷访问

积分表147个公式的推导(修正版)VIP专享

积分表147个公式的推导(修正版)_第1页
1/87
积分表147个公式的推导(修正版)_第2页
2/87
积分表147个公式的推导(修正版)_第3页
3/87
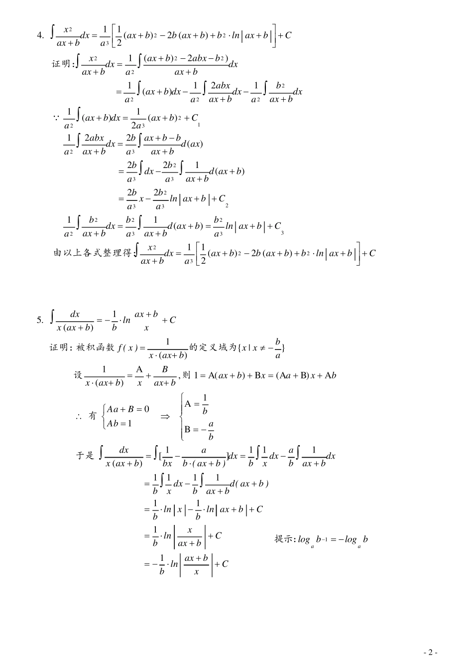
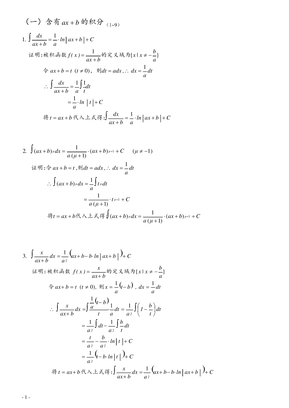
目 录 (一)含有bax 的积分(1~9)·······················································1 (二)含有bax 的积分(10~18)···················································5 (三)含有22ax 的积分(19~21)····················································9 (四)含有)0( 2abax的积分(22~28)············································11 (五)含有)0( 2acbxax的积分(29~30)········································14 (六)含有)0( 22aax的积分(31~44)·········································15 (七)含有)0( 22aax的积分(45~58)·········································24 (八)含有)0( 22axa的积分(59~72)·········································37 (九)含有)0( 2acbxa的积分(73~78)····································48 (十)含有 或))((xbax的积分(79~82)···························51 (十一)含有三角函数的积分(83~112)···········································55 (十二)含有反三角函数的积分(其中0a)(113~121)·······················68 (十三)含有指数函数的积分(122~131)··········································73 (十四)含有对数函数的积分(132~136)··········································78 (十五)含有双曲函数的积分(137~141)··········································80 (十六)定积分(142~147)·············································...

1、当您付费下载文档后,您只拥有了使用权限,并不意味着购买了版权,文档只能用于自身使用,不得用于其他商业用途(如 [转卖]进行直接盈利或[编辑后售卖]进行间接盈利)。
2、本站所有内容均由合作方或网友上传,本站不对文档的完整性、权威性及其观点立场正确性做任何保证或承诺!文档内容仅供研究参考,付费前请自行鉴别。
3、如文档内容存在违规,或者侵犯商业秘密、侵犯著作权等,请点击“违规举报”。

碎片内容

积分表147个公式的推导(修正版)

小辰4+ 关注
实名认证
内容提供者

出售各种资料和文档

相关文档

确认删除?
VIP
微信客服
  • 扫码咨询
会员Q群
  • 会员专属群点击这里加入QQ群
客服邮箱
回到顶部