电脑桌面
添加小米粒文库到电脑桌面
安装后可以在桌面快捷访问

2025年广东高考文科数学真题分类汇总圆锥曲线含答案

2025年广东高考文科数学真题分类汇总圆锥曲线含答案_第1页
1/5
2025年广东高考文科数学真题分类汇总圆锥曲线含答案_第2页
2/5
2025年广东高考文科数学真题分类汇总圆锥曲线含答案_第3页
3/5
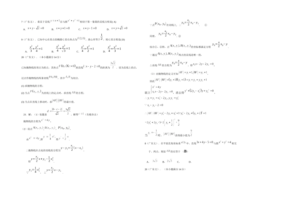
7(广东文).垂直于直线且与圆相切于第一象限的直线方程是( A) A. B. C. D.9(广东文).已知中心在原点的椭圆 C 的右焦点为,离心率等于12 ,则 C 的方程是( D)A.x23 + y24 =1 B.x24 + y2√3=1 C.x24 + y22 =1 D.x24 + y23 =120(广东文).(本小题满分 14 分)已知抛物线的顶点为原点,其焦点到直线的距离为.设为直线上的点,过点作抛物线的两条切线,其中为切点.(1) 求抛物线的方程;(2) 当点为直线上的定点时,求直线的方程;(3) 当点在直线上移动时,求的最小值.20. 解:(1)依题意,解得(负根舍去)抛物线的方程为;(2)设点,,P( x0, y0),由,即得. ∴抛物线在点处的切线的方程为y− y1=x12 (x−x1),即y= x12 x+ y1−12 x12. y1=14 x12, ∴y=x12 x− y1 . 点P( x0, y0)在切线上, ∴y0= x12 x0−y1. ①同理, y0= x22 x0− y2. ②综合①、②得,点的坐标都满足方程 y0= x2 x0−y. 通过两点的直线是唯一的,∴直线的方程为y0= x2 x0−y,即;(3)由抛物线的定义可知,因此联立,消去得,当时,获得最小值为8(广东文).在平面直角坐标系中,直线与圆相交于、两点,则弦的长等于 (B) A. B. C. D.20(广东文). (本小题满分 14 分)在平面直角坐标系中,已知椭圆的左焦点为,且点在上.(1)求椭圆的方程;(2)设直线与椭圆和抛物线相切,求直线的方程.解:(1):依题意:c=1,…………………………………………………………………………1 分则:a2=b2+1 ,…………………………………………………………………………2 分设椭圆方程为:x2b2+1 + y2b2 =1………………………………………………………………3 分将P(0,1)点坐标代入,解得:b2=1 …………………………………………………………4 分因此 a2=b2+1=1+1=2故椭圆方程为:x22 + y2=1…………………………………………………………………………5 分(2)设所求切线的方程为:y=kx+m ……………………………………………6 分{y=kx+m¿¿¿¿消除 yΔ1=(4 km)2−4(2k2+1)(2m2−2) ………7 分化简得:m2−2k2=1⋯⋯⋯⋯⋯①………………………………………………………8 分同理:联立直线方程和抛物线的方程得:{y=kx+m¿¿¿¿消除 y 得:k 2x2+(2km−4)x+m2=0Δ2=(2km−4)2−4k2 m2=0 ……………………………………………………………………9 分化简得...

1、当您付费下载文档后,您只拥有了使用权限,并不意味着购买了版权,文档只能用于自身使用,不得用于其他商业用途(如 [转卖]进行直接盈利或[编辑后售卖]进行间接盈利)。
2、本站所有内容均由合作方或网友上传,本站不对文档的完整性、权威性及其观点立场正确性做任何保证或承诺!文档内容仅供研究参考,付费前请自行鉴别。
3、如文档内容存在违规,或者侵犯商业秘密、侵犯著作权等,请点击“违规举报”。

碎片内容

2025年广东高考文科数学真题分类汇总圆锥曲线含答案

山水人家+ 关注
实名认证
内容提供者

读万卷书,行万里路。

确认删除?
VIP
微信客服
  • 扫码咨询
会员Q群
  • 会员专属群点击这里加入QQ群
客服邮箱
回到顶部