电脑桌面
添加小米粒文库到电脑桌面
安装后可以在桌面快捷访问

函数值域的求法

函数值域的求法_第1页
1/9
函数值域的求法_第2页
2/9
函数值域的求法_第3页
3/9
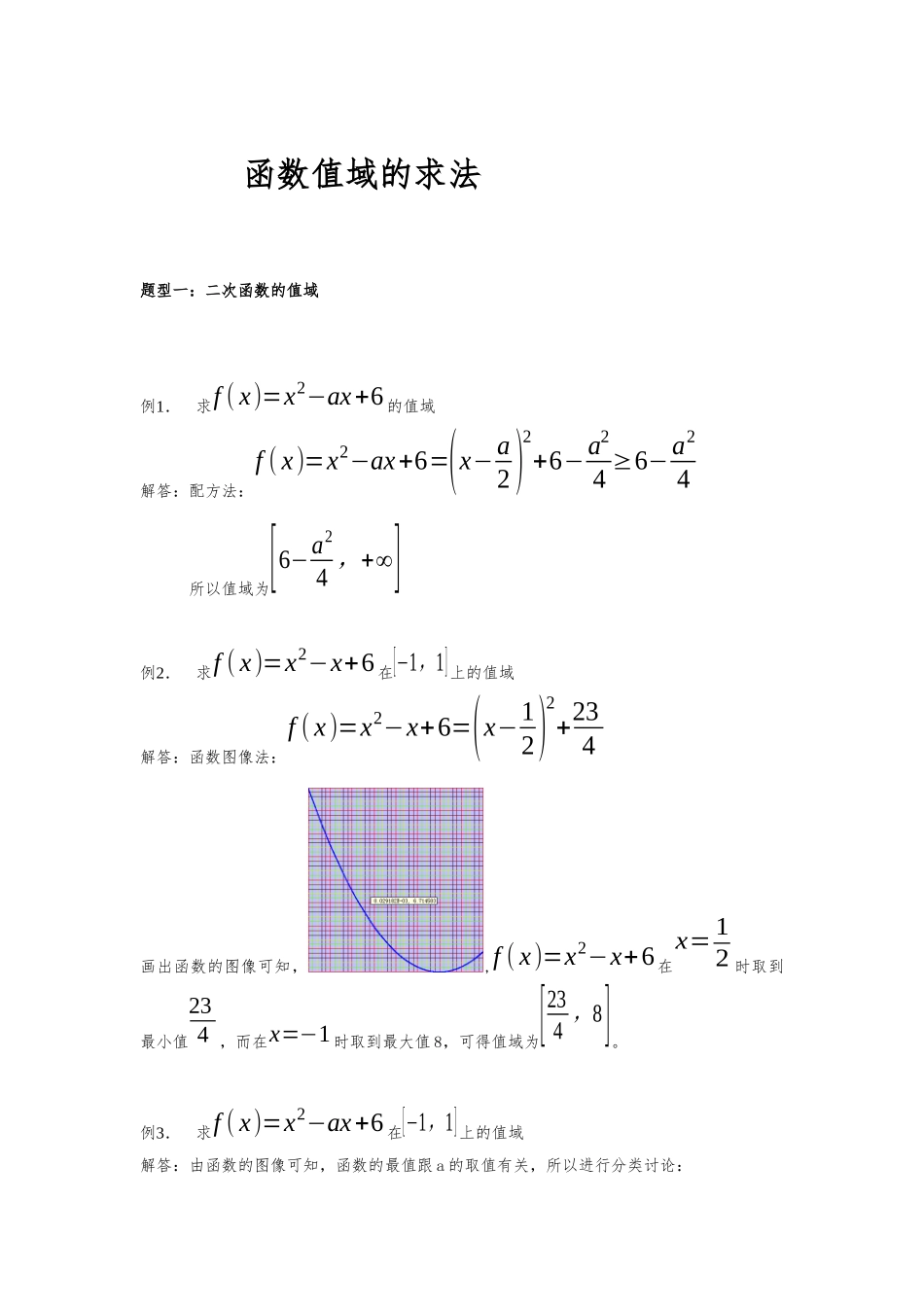
函数值域的求法题型一:二次函数的值域例1.求f ( x)=x2−ax+6 的值域解答:配方法:f ( x)=x2−ax+6=(x−a2)2+6−a24 ≥6−a24 所以值域为[6−a24 ,+∞]例2.求f ( x)=x2−x+6 在[−1,1]上的值域解答:函数图像法:f ( x)=x2−x+6=(x−12)2+234画出函数的图像可知,,f ( x)=x2−x+6 在x= 12 时取到最小值234 ,而在x=−1 时取到最大值 8,可得值域为[234 ,8]。例3.求f ( x)=x2−ax+6 在[−1,1]上的值域解答:由函数的图像可知,函数的最值跟 a 的取值有关,所以进行分类讨论:① 当a≤−2 时,对称轴在x=−1 的左侧,所以根据图像可知,f max=f (1)=7−a,f min=f (−1)=7+a所以此时的值域为[7+a,7−a ]② 当−2≤a≤0时,对称轴在x=−1 与 y 轴之间,所以根据图像可知,f max=f (1)=7−a,f min=f ( a2 )=6−a24所以此时的值域为[6−a24 ,7−a]③ 当0≤a≤2时,对称轴在 y 轴与x=1 之间,所以根据图像可知,f max=f (−1)=7+a ,f min=f ( a2 )=6−a24所以此时的值域为[6−a24 ,7+a]④ 当2≤a 时,对称轴在x=1 的右侧,所以根据图像可知,f max=f (1)=7+a ,f min=f (−1)=7−a所以此时的值域为[7−a,7+a ]题型二:指数、对数函数的值域例4.求f ( x)=log2(x2−2 x+6) 的值域解答:复合形式用换元:令t=x2−2x+6 ,则由例 1 可知,t∈[5,+∞)根据单调性,可求出log 2t 的值域为[log25,+∞)例5.求f ( x)=4x+2x+1+6 的值域解答:因为4 x=(2x )2,所以,采纳换元发,令t=2x,则t∈ (0,+∞)则原函数变为t 2+2t+6 ,可以根据二次函数值域的求法得到值域为(6,+∞ )题型三:分式函数的值域例6.求函数f ( x)=2x+3x+1的值域解法一:分离变量法,将分式中分子部分的变量分离出去。则可以换元,令t=x+1,原函数变为2t +1t=2+1t ,由反比例函数的性质可知,值域为(−∞,2)∪(2,+∞)解 法 二 : 反 函 数 法 , 利 用 原 函 数 的 值 域 就 是 反 函 数 的 定 义 域 , 来 求 值 域 。 令y=f ( x)=2 x+3x+1 ,则yx+ y=2x+3 ,得到x=3−yy−2 ,可知y≠2解法三:解析几何法。考虑数形结合,联想到分式y1− y2x1−x2 表示两点间连线的斜率,则讲原函数写为2x−(−3)x−(−1) ,可以看成是 (−1,−3 ), (x ,2 x)两点连线的斜率,其中(x ,2 x ) 是动点,构成y=2x 直线轨迹,则连线必须与 y=2x 相交...

1、当您付费下载文档后,您只拥有了使用权限,并不意味着购买了版权,文档只能用于自身使用,不得用于其他商业用途(如 [转卖]进行直接盈利或[编辑后售卖]进行间接盈利)。
2、本站所有内容均由合作方或网友上传,本站不对文档的完整性、权威性及其观点立场正确性做任何保证或承诺!文档内容仅供研究参考,付费前请自行鉴别。
3、如文档内容存在违规,或者侵犯商业秘密、侵犯著作权等,请点击“违规举报”。

碎片内容

函数值域的求法

您可能关注的文档

确认删除?
VIP
微信客服
  • 扫码咨询
会员Q群
  • 会员专属群点击这里加入QQ群
客服邮箱
回到顶部