电脑桌面
添加小米粒文库到电脑桌面
安装后可以在桌面快捷访问

高中数学 专题2.1.1 指数与指数幂的运算视角透析学案 新人教A版必修1-新人教A版高一必修1数学学案

高中数学 专题2.1.1 指数与指数幂的运算视角透析学案 新人教A版必修1-新人教A版高一必修1数学学案_第1页
1/12
高中数学 专题2.1.1 指数与指数幂的运算视角透析学案 新人教A版必修1-新人教A版高一必修1数学学案_第2页
2/12
高中数学 专题2.1.1 指数与指数幂的运算视角透析学案 新人教A版必修1-新人教A版高一必修1数学学案_第3页
3/12
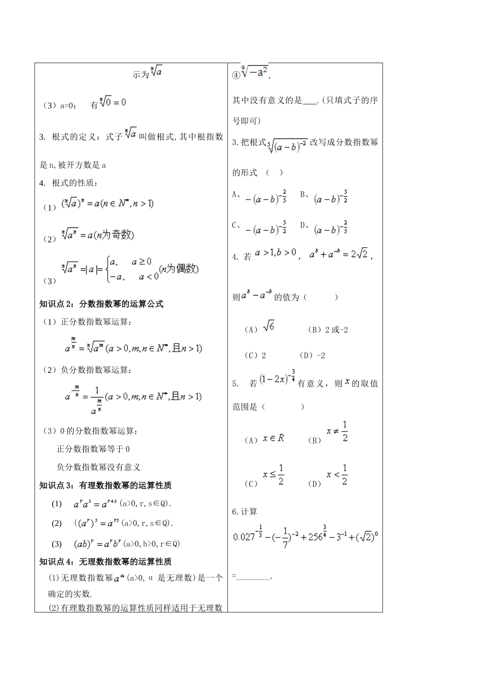
2.1.1 指数与指数幂的运算【双向目标】课程目标学科素养A.了解根式的概念,方根的概念及二者的关系B.理解分数指数幂的概念C.掌握有理数指数幂的运算性质a 数学抽象:根式的概念,分数指数幂的概念的掌握b 逻辑推理:根式概念与方根概念二者之间的关系c 数学运算:掌握有理数指数幂的运算性质,并能运用性质进行计算和化简d 直观想象:让学生感受由特殊到一般的数学思想方法 e 数学建模:通过对实际问题的探究过程,感知应用数学解决问题的方法,理解分类讨论思想、化归与转化思想在数学中的应用【课标知识】知识提炼基础过关知识点 1:n 次方根、根式的概念及性质1.n 次方根:如果 xn=a,那么 x 叫做 a 的 n 次方根,其中 n>1 且 n∈N*..2.a 的 n 次方根的个数:(1)正数 a:偶次方根--有两个,它们互为相反数 分 别 表 示 为和 - 奇次方根--有一个,是正数,表示为(2)负数 a:偶次方根--在实数范围内不存在 奇次方根--有一个,是负数,表1.下列各式中正确的是( ) A.=a B.= C.=3D.=2.已知 a∈R,n∈N*,给出四个式子:①;②;③;示为(3)a=0: 有3. 根式的定义:式子叫做根式,其中根指数是 n,被开方数是 a4. 根式的性质:(1)(2)(3)知识点 2:分数指数幂的运算公式(1)正分数指数幂运算:(2)负分数指数幂运算:(3)0 的分数指数幂运算:正分数指数幂等于 0负分数指数幂没有意义 知识点 3:有理数指数幂的运算性质(1)(a>0,r,s∈Q). (2)((a>0,r,s∈Q). (3)(a>0,b>0,r∈Q)知识点 4:无理数指数幂的运算性质(1)无理数指数幂(a>0,α 是无理数)是一个确定的实数.(2)有理数指数幂的运算性质同样适用于无理数④,其中没有意义的是 .(只填式子的序号即可)3.把根式改写成分数指数幂的形式 ( )[学科 xx,k.Com]A、 B、 C、 D、4. 若,,则的值为()(A) (B)2 或-2(C)2 (D)-2[来源5. 若有意义,则的取值范围是()(A) (B)(C) (D)6.计算=________.指数幂. 基础过关参考答案: 1.【解析】对于 A,=a 考查了 n 次方根的运算性质,当 n 为偶数时,=,故 A 项错.对于 B,本质上与选项 A 相同,是一个正数的偶次方根,结论应为=,故 B 项错.对于 C,=-3,故 C 项也错.对于 D,它是一个正数的偶次方根,根据运算顺序也应如此,故 D 项正确.【答案】D2.【解析】①③是偶次方根,被开方数必须大于等于 0,故③没有意义;②④ 是奇次方根,被开方数可为任意实数.【答案...

1、当您付费下载文档后,您只拥有了使用权限,并不意味着购买了版权,文档只能用于自身使用,不得用于其他商业用途(如 [转卖]进行直接盈利或[编辑后售卖]进行间接盈利)。
2、本站所有内容均由合作方或网友上传,本站不对文档的完整性、权威性及其观点立场正确性做任何保证或承诺!文档内容仅供研究参考,付费前请自行鉴别。
3、如文档内容存在违规,或者侵犯商业秘密、侵犯著作权等,请点击“违规举报”。

碎片内容

高中数学 专题2.1.1 指数与指数幂的运算视角透析学案 新人教A版必修1-新人教A版高一必修1数学学案

您可能关注的文档

文章天下+ 关注
实名认证
内容提供者

各种文档应有尽有

确认删除?
VIP
微信客服
  • 扫码咨询
会员Q群
  • 会员专属群点击这里加入QQ群
客服邮箱
回到顶部