电脑桌面
添加小米粒文库到电脑桌面
安装后可以在桌面快捷访问

高中数学 第二章 基本初等函数(Ⅰ)2.1 指数函数 2.1.1 第2课时 指数幂及运算学案(含解析)新人教A版必修1-新人教A版高一必修1数学学案

高中数学 第二章 基本初等函数(Ⅰ)2.1 指数函数 2.1.1 第2课时 指数幂及运算学案(含解析)新人教A版必修1-新人教A版高一必修1数学学案_第1页
1/8
高中数学 第二章 基本初等函数(Ⅰ)2.1 指数函数 2.1.1 第2课时 指数幂及运算学案(含解析)新人教A版必修1-新人教A版高一必修1数学学案_第2页
2/8
高中数学 第二章 基本初等函数(Ⅰ)2.1 指数函数 2.1.1 第2课时 指数幂及运算学案(含解析)新人教A版必修1-新人教A版高一必修1数学学案_第3页
3/8
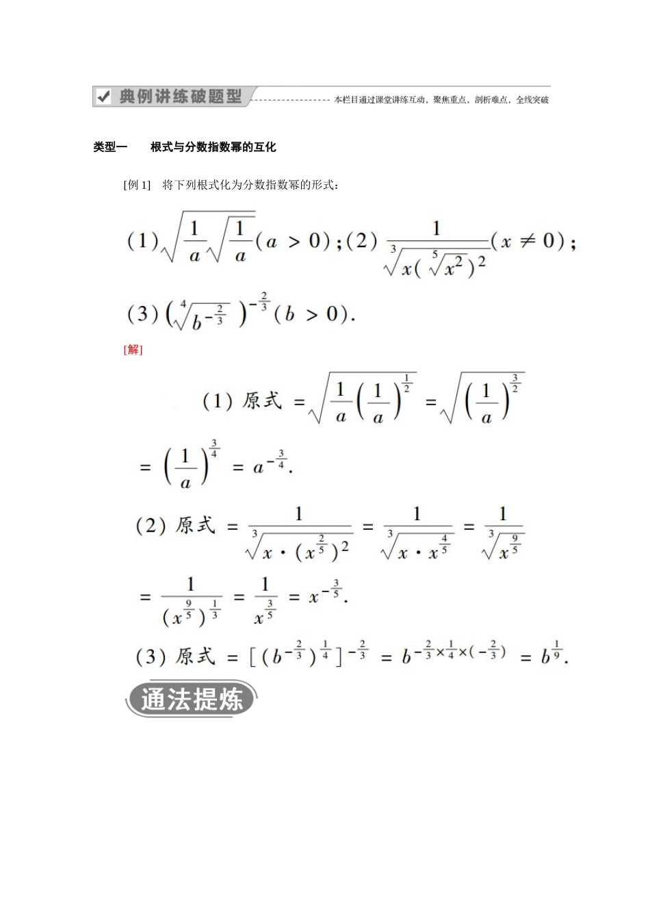
第 2 课时 指数幂及运算[目标] 1.理解有理数指数幂的含义,了解实数指数幂的意义,掌握根式与分数指数幂的互化;2.掌握有理数指数幂的运算性质.[重点] 根式与分数指数幂的互化.[难点] 运用有理数指数幂运算性质进行化简、求值.知识点一 分数指数幂的意义[填一填][答一答]提示:2.负数也有分数指数幂吗?提示:知识点二 有理数指数幂的运算性质[填一填](1)aras=a r + s (a>0,r,s∈Q);(2)(ar)s=a rs (a>0,r,s∈Q);(3)(ab)r=a r b r (a>0,b>0,r∈Q).[答一答]3.在有理数指数幂的运算性质中,为什么要规定 a>0?提示:(1)若 a=0,∵0 的负数指数幂无意义,∴(ab)r=ar·br,当 r<0 时不成立,∴a≠0.(2)若 a<0,(ar)s=ars也不一定成立,∴a<0 时不成立.因此规定 a>0.4.若 a∈R,α、β∈Q,(aα)β一定等于(aβ)α吗?试举例说明.提示:知识点三 无理数指数幂[填一填]一般地,无理数指数幂 aα(a>0,α 是无理数)是一个确定的实数.有理数指数幂的运算性质同样适用于无理数指数幂.[答一答]5.为什么在规定无理数指数幂的意义时,必须规定底数是正数?提示:底数大于零是必要的,否则会造成混乱,如 a=-1,则(-1)α是 1 还是-1 就无法确定了,规定后就清楚了.类型一 根式与分数指数幂的互化[例 1] 将下列根式化为分数指数幂的形式: [解] [变式训练 1] 用分数指数幂表示下列各式(a>0,b>0):(1)·;(2);(3)·;(4)()2·.解:类型二 利用分数指数幂的性质化简与求值[例 2] 计算下列各式: [解] 1进行指数幂运算的一般方法为化负数为正数,化根式为分数指数幂,化小数为分数.2一般情况下,指数的底数是大于 0 的,但具体题目要具体对待,一定要注意底数的正负.[变式训练 2] 计算或化简下列各式(其中式子中的字母均为正数).解:类型三 条件因式的化简与求值 [解] (1) 得 a+a-1+2=9,即 a+a-1=7.解:1.·等于( A )A.- B.- C. D.解析:由已知,得 a≤0,则·==-,故选 A.2.计算-0.01-0.5+0.2-2-(2-3)-1+(10-3)0的结果为( B )A.15 B.17 C.35 D.37解析:解析:解析:解:∴x+x-1=14,∴x2+2+x-2=196,∴x2+x-2=194,∴原式==-3.——本课须掌握的问题根式一般先转化成分数指数幂,然后利用有理数指数幂的运算性质进行运算.在将根式化为分数指数幂的过程中,一般采用由内到外逐层变换的方法,然后运用运算性质准确求解.

1、当您付费下载文档后,您只拥有了使用权限,并不意味着购买了版权,文档只能用于自身使用,不得用于其他商业用途(如 [转卖]进行直接盈利或[编辑后售卖]进行间接盈利)。
2、本站所有内容均由合作方或网友上传,本站不对文档的完整性、权威性及其观点立场正确性做任何保证或承诺!文档内容仅供研究参考,付费前请自行鉴别。
3、如文档内容存在违规,或者侵犯商业秘密、侵犯著作权等,请点击“违规举报”。

碎片内容

高中数学 第二章 基本初等函数(Ⅰ)2.1 指数函数 2.1.1 第2课时 指数幂及运算学案(含解析)新人教A版必修1-新人教A版高一必修1数学学案

您可能关注的文档

确认删除?
VIP
微信客服
  • 扫码咨询
会员Q群
  • 会员专属群点击这里加入QQ群
客服邮箱
回到顶部