电脑桌面
添加小米粒文库到电脑桌面
安装后可以在桌面快捷访问

高中数学《解三角形》学案1 北师大版必修5

高中数学《解三角形》学案1 北师大版必修5_第1页
1/13
高中数学《解三角形》学案1 北师大版必修5_第2页
2/13
高中数学《解三角形》学案1 北师大版必修5_第3页
3/13
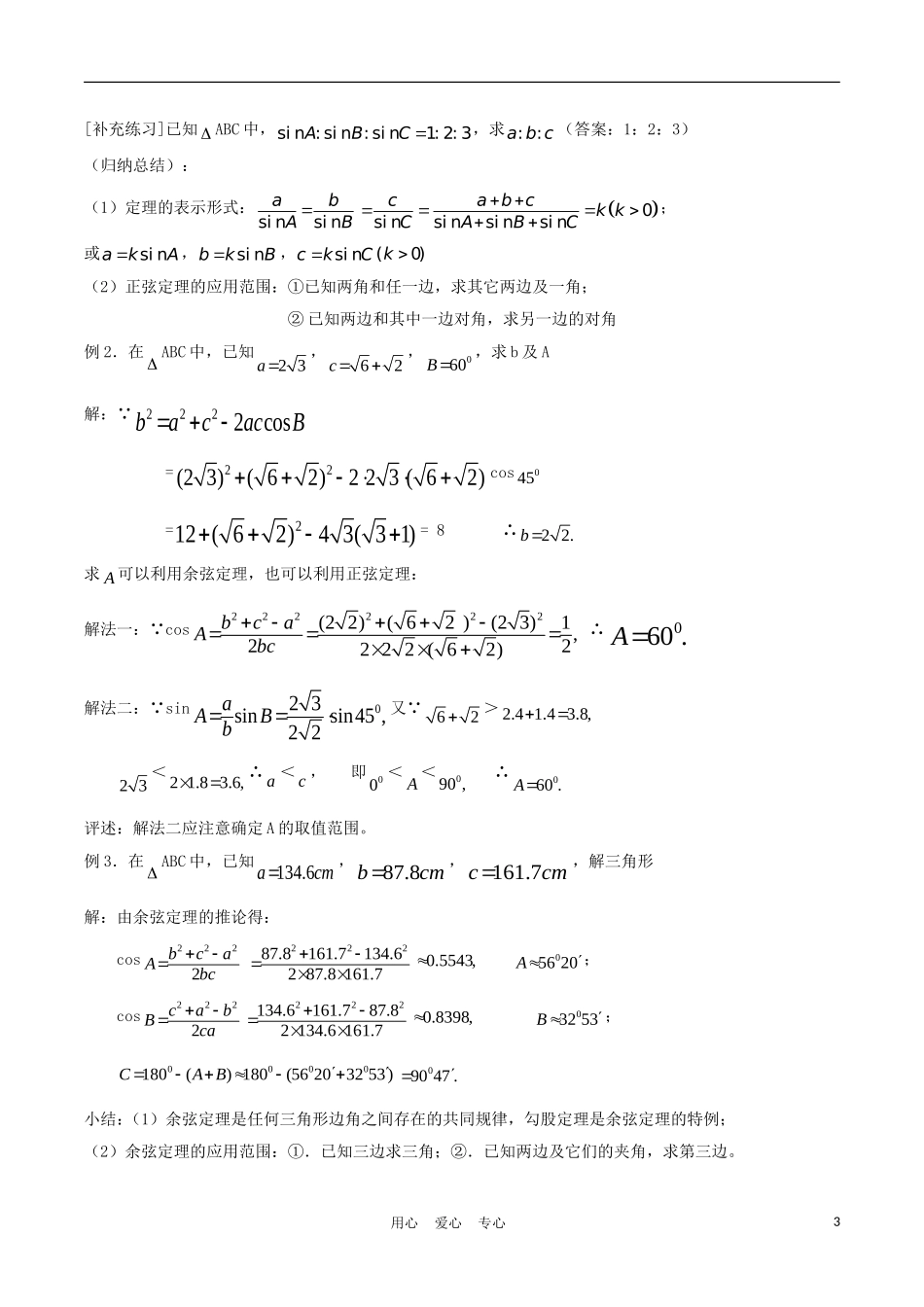
解三角形【学法导航】处理三角形问题,必须结合三角形全等的判定定理理解斜三角形的四类基本可解型,特别要多角度(几何作图,三角函数定义,正、余弦定理,勾股定理等角度)去理解“边边角”型问题可能有两解、一解、无解的三种情况,根据已知条件判断解的情况,并能正确求解1.三角形中的边角关系三角形内角和等于 180°;三角形中任意两边之和大小第三边,任意两边之差小于第三边;三角形中大边对大角,小边对小角;正弦定理中,a=2R·sin A ,b=2R·sin B ,c=2R·sin C ,其中 R 是△ ABC 外接圆半径 .在余弦定理中:2bccosA=222acb.三角形的面积公式有:S=21 ah,S=21 absinC,S=))(()(cPbPaPP其中,h 是 BC 边上高 ,P 是半周长.2.利用正、余弦定理及三角形面积公式等解任意三角形已知两角及一边,求其它边角,常选用正弦定理.已知两边及其中一边的对角,求另一边的对角,常选用正弦定理.已知三边,求三个角,常选用余弦定理.已知两边和它们的夹角,求第三边和其他两个角,常选用余弦定理.已知两边和其中一边的对角,求第三边和其他两个角,常选用正弦定理.3.利用正、余弦定理判断三角形的形状常用方法是:①化边为角;②化角为边.4.解斜三角形在实际中的运用5.三角形的面积公式:(1)△= 21 aha= 21 bhb= 21 chc(ha、hb、hc分别表示 a、b、c 上的高);(2)△= 21 absinC= 21 bcsinA= 21 acsinB;(3)△=)sin(2sinsin2CBCBa=)sin(2sinsin2ACACb=)sin(2sinsin2BABAc;(4)△=2R2sinAsinBsinC。(R 为外接圆半径)(5)△=Rabc4;用心 爱心 专心1(6)△=))()((csbsass;)(21cbas;(7)△=r·s。6.三角形中的三角变换三角形中的三角变换,除了应用上述公式和上述变换方法外,还要注意三角形自身的特点。(1)角的变换因 为 在 △ ABC 中 , A+B+C=π , 所 以 sin(A+B)=sinC ; cos(A+B)= - cosC ; tan(A+B)= - tanC 。2sin2cos,2cos2sinCBACBA;(2)三角形边、角关系定理及面积公式,正弦定理,余弦定理。r 为三角形内切圆半径,p 为周长之半(3)在△ABC 中,熟记并会证明:∠A,∠B,∠C 成等差数列的充分必要条件是∠B=60°;△ABC 是正三角形的充分必要条件是∠A,∠B,∠C 成等差数列且 a,b,c 成等比数列【专题综合】1. 正弦定理与余弦定理例 1.已知  ABC 中, A060,3a ,求si...

1、当您付费下载文档后,您只拥有了使用权限,并不意味着购买了版权,文档只能用于自身使用,不得用于其他商业用途(如 [转卖]进行直接盈利或[编辑后售卖]进行间接盈利)。
2、本站所有内容均由合作方或网友上传,本站不对文档的完整性、权威性及其观点立场正确性做任何保证或承诺!文档内容仅供研究参考,付费前请自行鉴别。
3、如文档内容存在违规,或者侵犯商业秘密、侵犯著作权等,请点击“违规举报”。

碎片内容

高中数学《解三角形》学案1 北师大版必修5

您可能关注的文档

文章天下+ 关注
实名认证
内容提供者

各种文档应有尽有

确认删除?
VIP
微信客服
  • 扫码咨询
会员Q群
  • 会员专属群点击这里加入QQ群
客服邮箱
回到顶部