电脑桌面
添加小米粒文库到电脑桌面
安装后可以在桌面快捷访问

求数列通项公式的十一种方法VIP免费

求数列通项公式的十一种方法_第1页
1/21
求数列通项公式的十一种方法_第2页
2/21
求数列通项公式的十一种方法_第3页
3/21
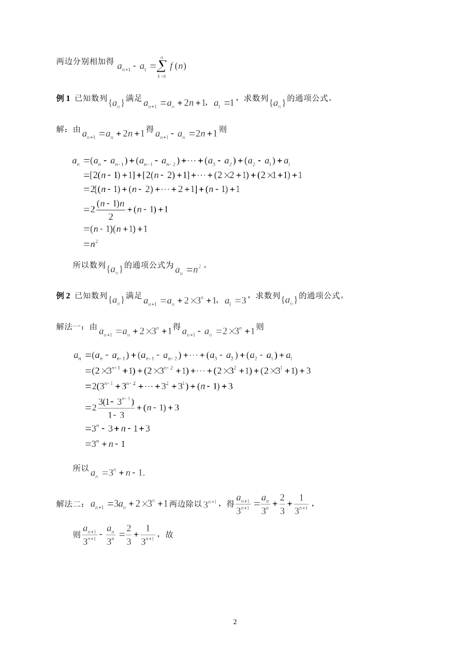
求数列通项公式的十一种方法(方法全,例子全,归纳细)总述:一.利用递推关系式求数列通项的11种方法:累加法、累乘法、待定系数法、阶差法(逐差法)、迭代法、对数变换法、倒数变换法、换元法(目的是去递推关系式中出现的根号)、数学归纳法、不动点法(递推式是一个数列通项的分式表达式)、特征根法二。四种基本数列:等差数列、等比数列、等和数列、等积数列及其广义形式。等差数列、等比数列的求通项公式的方法是:累加和累乘,这二种方法是求数列通项公式的最基本方法。三.求数列通项的方法的基本思路是:把所求数列通过变形,代换转化为等级差数列或等比数列。四.求数列通项的基本方法是:累加法和累乘法。五.数列的本质是一个函数,其定义域是自然数集的一个函数。一、累加法1.适用于:----------这是广义的等差数列累加法是最基本的二个方法之一。2.若,则1两边分别相加得例1已知数列满足,求数列的通项公式。解:由得则所以数列的通项公式为。例2已知数列满足,求数列的通项公式。解法一:由得则所以解法二:两边除以,得,则,故2因此,则练习1.已知数列的首项为1,且写出数列的通项公式.答案:练习2.已知数列满足,,求此数列的通项公式.答案:裂项求和评注:已知,,其中f(n)可以是关于n的一次函数、二次函数、指数函数、分式函数,求通项.①若f(n)是关于n的一次函数,累加后可转化为等差数列求和;②若f(n)是关于n的二次函数,累加后可分组求和;③若f(n)是关于n的指数函数,累加后可转化为等比数列求和;④若f(n)是关于n的分式函数,累加后可裂项求和。例3.已知数列中,且,求数列的通项公式.解:由已知得,化简有,由类型(1)有,3又得,所以,又,,则此题也可以用数学归纳法来求解.二、累乘法1.适用于:----------这是广义的等比数列累乘法是最基本的二个方法之二。2.若,则两边分别相乘得,例4已知数列满足,求数列的通项公式。解:因为,所以,则,故所以数列的通项公式为例5.设是首项为1的正项数列,且(=1,2,3,…),则它的通项公式是=________.解:已知等式可化为:4()(n+1),即时,==.评注:本题是关于和的二次齐次式,可以通过因式分解(一般情况时用求根公式)得到与的更为明显的关系式,从而求出.练习.已知,求数列{an}的通项公式.答案:-1.评注:本题解题的关键是把原来的递推关系式转化为若令,则问题进一步转化为形式,进而应用累乘法求出数列的通项公式.三、待定系数法适用于基本思路是转化为等差数列或等比数列,而数列的本质是一个函数,其定义域是自然数集的一个函数。1.形如,其中)型(1)若c=1时,数列{}为等差数列;(2)若d=0时,数列{}为等比数列;(3)若时,数列{}为线性递推数列,其通项可通过待定系数法构造辅助数列来求.待定系数法:设,5得,与题设比较系数得,所以所以有:因此数列构成以为首项,以c为公比的等比数列,所以即:.规律:将递推关系化为,构造成公比为c的等比数列从而求得通项公式逐项相减法(阶差法):有时我们从递推关系中把n换成n-1有,两式相减有从而化为公比为c的等比数列,进而求得通项公式.,再利用类型(1)即可求得通项公式.我们看到此方法比较复杂.例6已知数列中,,求数列的通项公式。解法一:又是首项为2,公比为2的等比数列,即解法二:两式相减得,故数列是首项为2,公比为2的等比数列,再用累加法的……6练习.已知数列中,求通项。答案:2.形如:(其中q是常数,且n0,1)①若p=1时,即:,累加即可.②若时,即:,求通项方法有以下三种方向:i.两边同除以.目的是把所求数列构造成等差数列即:,令,则,然后类型1,累加求通项.ii.两边同除以.目的是把所求数列构造成等差数列。即:,令,则可化为.然后转化为类型5来解,iii.待定系数法:目的是把所求数列构造成等差数列设.通过比较系数,求出,转化为等比数列求通项.注意:应用待定系数法时,要求pq,否则待定系数法会失效。例7已知数列满足,求数列的通项公式。解法一(待定系数法):设,比较系数得,则数列是首项为,公比为2的等比数列,所以,即7解法二(两边同除以):两边同时除以得:,下面解法略解法三(两边同除以):两边同时除以得:,下面解法略练习.(2003天...

1、当您付费下载文档后,您只拥有了使用权限,并不意味着购买了版权,文档只能用于自身使用,不得用于其他商业用途(如 [转卖]进行直接盈利或[编辑后售卖]进行间接盈利)。
2、本站所有内容均由合作方或网友上传,本站不对文档的完整性、权威性及其观点立场正确性做任何保证或承诺!文档内容仅供研究参考,付费前请自行鉴别。
3、如文档内容存在违规,或者侵犯商业秘密、侵犯著作权等,请点击“违规举报”。

碎片内容

求数列通项公式的十一种方法

您可能关注的文档

精华资料店+ 关注
实名认证
内容提供者

大量教育教学资料

相关文档

确认删除?
VIP
微信客服
  • 扫码咨询
会员Q群
  • 会员专属群点击这里加入QQ群
客服邮箱
回到顶部