电脑桌面
添加小米粒文库到电脑桌面
安装后可以在桌面快捷访问

2017级132有理数的加减混合运算VIP免费

2017级132有理数的加减混合运算_第1页
1/12
2017级132有理数的加减混合运算_第2页
2/12
2017级132有理数的加减混合运算_第3页
3/12
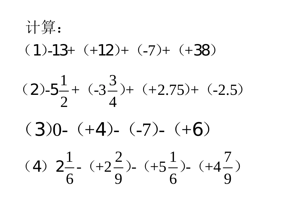
1.3.2有理数的减法(2)减法加法转化减去一个数,等于加上这个数的相反数。有理数减法法则a-b=a+(-b)-+++-7++计算:(1)13(12)()(38)13-+-3++2.75+-2.524(2)5()()()1217-+2-+5-+46969(4)2()()()0-+--7-+(3)(4)()(6)【问题1】例1计算:).7()5()3()20(思考:从上面这个例子,我们发现了什么呢?引入了相反数后,加减混合运算可以统一为加法运算.).(cbacba即归纳:【问题2】计算:)32()43()41(3132434131(1)(2).比较一下,你能发现什么?【问题3】把下列式子写成省略加号的和学生阅读教科书第24页.)7()5()3()20(【问题4】观察上面式子,你能发现简化同号得正,异号得负.的形式,并读出来.符号的规律吗?练习:(7)(5)(10)(4)1)32()61(27435.36.45.34.21.2.3.);52.2()28.5()52.3(12.6).43()65()43()23(65例2,用简便方法进行计算:(2)(1)相反数结合法;凑整法;同分母结合法.方法归纳:练习:学习指要p15例1例3:点A,B,C,D在数轴上对应的数分别是5,3,-2,-6,先画出数轴,然后回答下列问题:(1)求A和B之间的距离;(2)求C和D之间的距离;(3)求A和C之间的距离;(4)求B和D之间的距离;(5)数轴上两个点之间的距离与这两个点所对应的数差的绝对值是什么关系?例4:股民小李上星期五买进某公司股票1000股,每股14元,下表为本周内每日该股票的涨跌情况(单位:元).星期一二三四五每股涨跌+0.9-0.5+1.5+0.5-0.6(3)已知小李买进股票时付了0.1%的手续费,卖出时还要付成交额0.1%的手续费和0.1%的交易税,如果小李在星期五收盘时将全部股票卖出,他的收益情况如何?(1)星期三收盘时,每股是多少元?(2)本周内每股最高价多少元?最低价多少元?【问题5】通过本节课的学习,你有什么收获?还有什么疑惑?课堂小结,布置作业中午作业:教科书p25页习题1.3第5题。家庭作业:学习指要p14—15

1、当您付费下载文档后,您只拥有了使用权限,并不意味着购买了版权,文档只能用于自身使用,不得用于其他商业用途(如 [转卖]进行直接盈利或[编辑后售卖]进行间接盈利)。
2、本站所有内容均由合作方或网友上传,本站不对文档的完整性、权威性及其观点立场正确性做任何保证或承诺!文档内容仅供研究参考,付费前请自行鉴别。
3、如文档内容存在违规,或者侵犯商业秘密、侵犯著作权等,请点击“违规举报”。

碎片内容

2017级132有理数的加减混合运算

您可能关注的文档

精品文库+ 关注
实名认证
内容提供者

中小学课件教案大全

相关文档

确认删除?
VIP
微信客服
  • 扫码咨询
会员Q群
  • 会员专属群点击这里加入QQ群
客服邮箱
回到顶部