电脑桌面
添加小米粒文库到电脑桌面
安装后可以在桌面快捷访问

有关调整融资融券标的证券的公告VIP免费

有关调整融资融券标的证券的公告_第1页
1/11
有关调整融资融券标的证券的公告_第2页
2/11
有关调整融资融券标的证券的公告_第3页
3/11
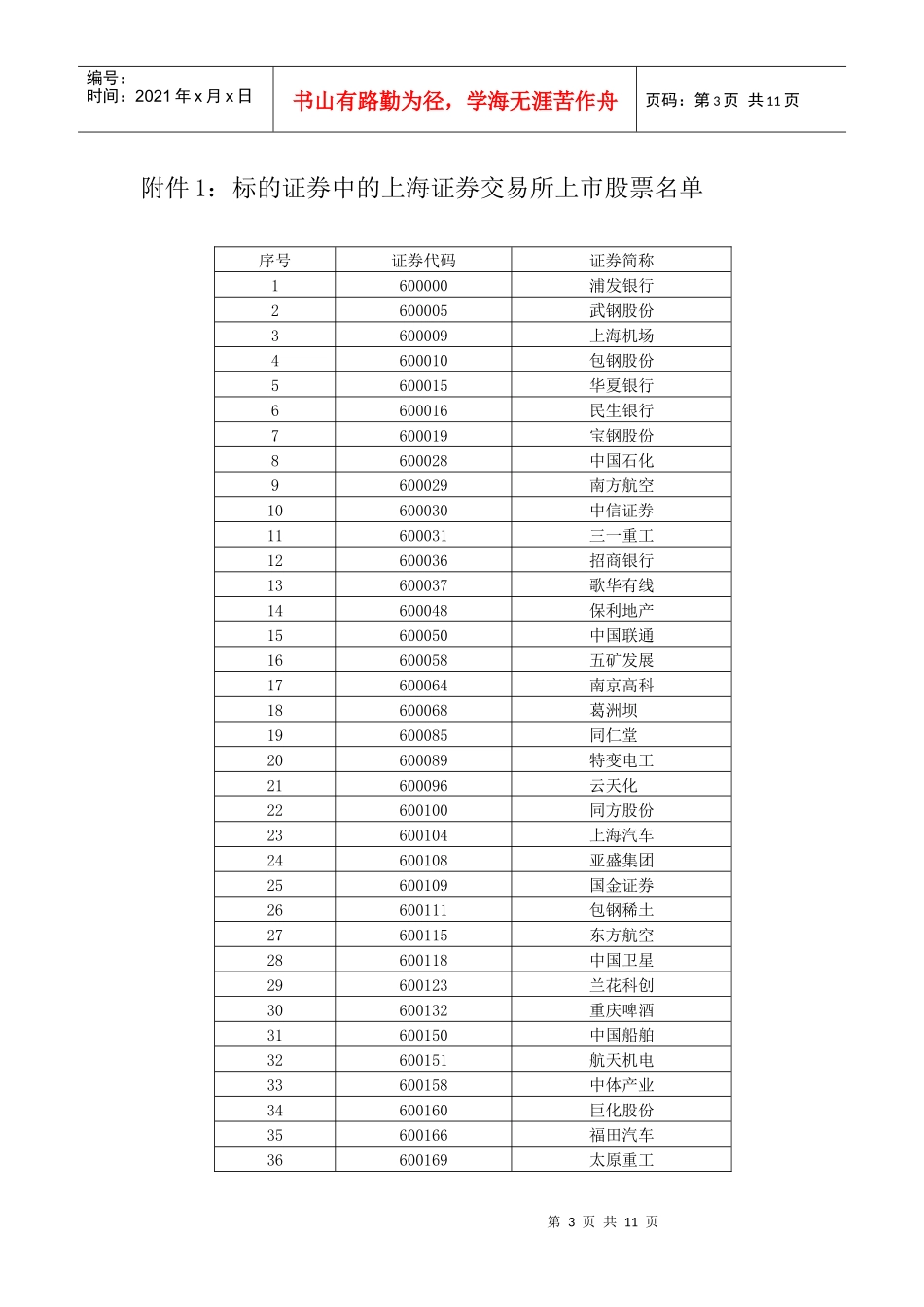
第1页共11页编号:时间:2021年x月x日书山有路勤为径,学海无涯苦作舟页码:第1页共11页关于调整融资融券标的证券的公告2011年11月28日,光大证券融资融券业务管理委员会审议通过了《关于调整融资融券标的证券的议案》。依据2011年11月25日沪深交易所发布的《关于调整融资融券标的证券范围的通知》和《关于扩大融资融券标的证券范围的通知》,以及《上海证券交易所融资融券交易实施细则》(简称《上交所实施细则》)、《深圳证券交易所融资融券交易实施细则》(简称《深交所实施细则》)和我公司《融资融券标的证券管理办法》相关规定,现决定对我司融资融券标的证券进行相应调整。调整后,我司的融资融券标的证券名单为:1、上证180指数成份股并满足《上交所实施细则》第二十四条的180只股票(具体名单见附件1,暂不含光大证券,601788);2、经批准的、满足《深交所实施细则》第3.2条规定条件的98只股票(具体名单见附件2);3、满足《上交所实施细则》第二十五条的4只交易所交易型开放式指数基金,和满足《深交所实施细则》第3.3条规定条件的3只交易所交易型开放式指数基金,(具体名单见附件3)。调整后的融资融券标的证券将于2011年12月5日开始实施。特此公告光大证券股份有限公司第2页共11页第1页共11页编号:时间:2021年x月x日书山有路勤为径,学海无涯苦作舟页码:第2页共11页2011年11月28日附件1:标的证券中的上海证券交易所上市股票名单附件2:标的证券中的深圳证券交易所上市股票名单附件3:标的证券中的交易所交易型开放式指数基金(ETF)名单第3页共11页第2页共11页编号:时间:2021年x月x日书山有路勤为径,学海无涯苦作舟页码:第3页共11页附件1:标的证券中的上海证券交易所上市股票名单序号证券代码证券简称1600000浦发银行2600005武钢股份3600009上海机场4600010包钢股份5600015华夏银行6600016民生银行7600019宝钢股份8600028中国石化9600029南方航空10600030中信证券11600031三一重工12600036招商银行13600037歌华有线14600048保利地产15600050中国联通16600058五矿发展17600064南京高科18600068葛洲坝19600085同仁堂20600089特变电工21600096云天化22600100同方股份23600104上海汽车24600108亚盛集团25600109国金证券26600111包钢稀土27600115东方航空28600118中国卫星29600123兰花科创30600132重庆啤酒31600150中国船舶32600151航天机电33600158中体产业34600160巨化股份35600166福田汽车36600169太原重工第4页共11页第3页共11页编号:时间:2021年x月x日书山有路勤为径,学海无涯苦作舟页码:第4页共11页37600173卧龙地产38600175美都控股39600177雅戈尔40600183生益科技41600188兖州煤业42600196复星医药43600208新湖中宝44600216浙江医药45600219南山铝业46600220江苏阳光47600221海南航空48600239云南城投49600246万通地产50600252中恒集团51600256广汇股份52600259广晟有色53600266北京城建54600271航天信息55600309烟台万华56600320振华重工57600322天房发展58600325华发股份59600331宏达股份60600348阳泉煤业61600352浙江龙盛62600362江西铜业63600369西南证券64600376首开股份65600383金地集团66600395盘江股份67600406国电南瑞68600415小商品城69600418江淮汽车70600432吉恩镍业71600489中金黄金72600497驰宏锌锗73600508上海能源74600516方大炭素75600518康美药业76600519贵州茅台77600528中铁二局第5页共11页第4页共11页编号:时间:2021年x月x日书山有路勤为径,学海无涯苦作舟页码:第5页共11页78600547山东黄金79600549厦门钨业80600550天威保变81600583海油工程82600584长电科技83600585海螺水泥84600595中孚实业85600598北大荒86600600青岛啤酒87600622嘉宝集团88600635大众公用89600638新黄浦90600641万业企业91600642申能股份92600643爱建股份93600649城投控股94600655豫园商城95600657信达地产96600660福耀玻璃97600663陆家嘴98600664哈药股份99600674川投能源100600675中华企业101600690青岛海尔102600703三安光电103600736苏州高新104600737中粮屯河105600739辽宁成大106600741华域汽车107600747大连控股108600748上实发展109600759...

1、当您付费下载文档后,您只拥有了使用权限,并不意味着购买了版权,文档只能用于自身使用,不得用于其他商业用途(如 [转卖]进行直接盈利或[编辑后售卖]进行间接盈利)。
2、本站所有内容均由合作方或网友上传,本站不对文档的完整性、权威性及其观点立场正确性做任何保证或承诺!文档内容仅供研究参考,付费前请自行鉴别。
3、如文档内容存在违规,或者侵犯商业秘密、侵犯著作权等,请点击“违规举报”。

碎片内容

有关调整融资融券标的证券的公告

您可能关注的文档

中小学资料+ 关注
实名认证
内容提供者

精美课件,值得下载

确认删除?
VIP
微信客服
  • 扫码咨询
会员Q群
  • 会员专属群点击这里加入QQ群
客服邮箱
回到顶部