电脑桌面
添加小米粒文库到电脑桌面
安装后可以在桌面快捷访问

初三数学解题智慧之二次根式VIP免费

初三数学解题智慧之二次根式_第1页
1/3
初三数学解题智慧之二次根式_第2页
2/3
初三数学解题智慧之二次根式_第3页
3/3
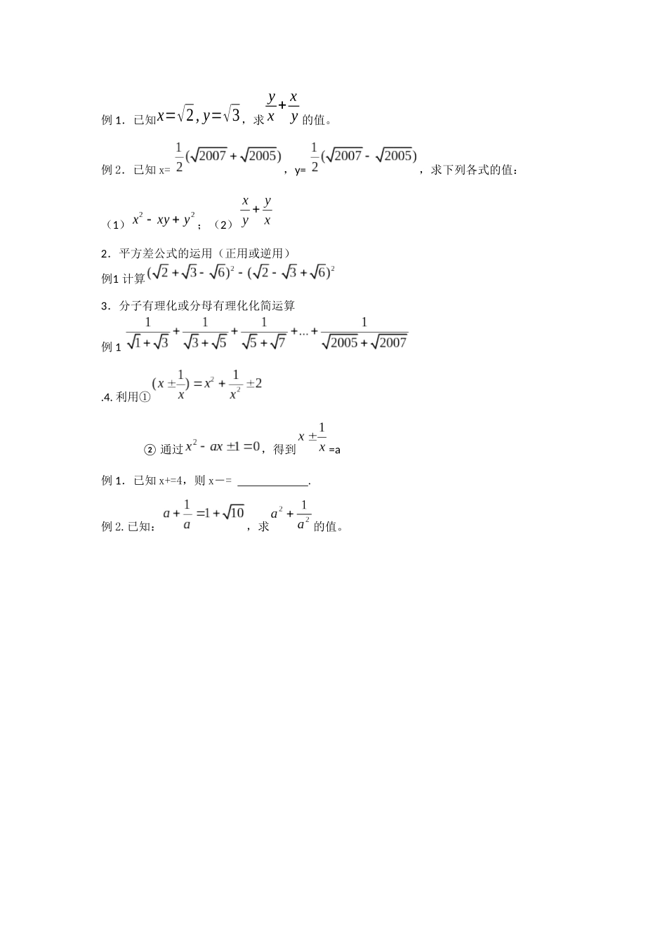
初三解题智慧二十一二次根式一、二次根式的隐含条件形如√a的二次根式,满足条件a≥0;显然当a≥0时,=a,当a<0时,=-a1.若=1-2a,则a的取值范围是。2.已知x,y为实数,且y=12+√8x−1+√1−8x,则x:y=。3.已知a为实数,则代数式√a+4-+的值为。4.等式∙=,则x的取值范围。5.当x取什么值的时候,+1的值最小,并求出这个最小值?二、二次根式的化简对于a<0时,=-a,=-a,=‒,等等将下列二次根式化为最简根式1.已知xy<0,化简:=2.将下列二次根式化为最简二次根式:x;-x;x;‒x;(x-1)三、“1”的灵活运用形如()()=1,=,一般形式为=等1.比较√3-√2与√6−√5的大小;2.计算(+++……+)(+1)四、运用“整体思想”求代数式的值形如x+a=,应设法化为(x+a)2=b2,从而得到x2+2ax=b2-a2,将x2+2ax看成整体代入代数式中求解代数式的值1.已知x=-1,求x3+3x2+5的值2.若x=√3-1,则=。五、由=,则①√m=¿,√n=②配方法等式两边各平方,则可得=m+n,则,所以运用配方法时设法得到:=形如==化简;;六、比较二次根式大小的方法1.外因内移法:将根号外的正因式移入根号内,转化为比较被开放数的大小:比较7和6的大小3.平方法:两边同时平方,转化为比较幂的大小比较√13+√7和√17+√3的大小4.分母有理化:各自先分母有理化,再比较大小.比较和的大小4.分子有理化:各自先分子有理化,再比较大小若a>1,比较-与-的大小5.求差法:通过比较两式的差与零的大小来确定原式的大小。比较3-与-2的大小6.求商法:通过比较两式的商与1的大小确定原式的大小若a>b>0,比较与的大小.7.倒数法:先求出各式的倒数,通过比较倒数的大小确定原式的大小比较与的大小8.中间值法比较与七、二次根式的运算技巧举例1.“x+y”,“xy”、x2+y2、x-y、等代数式间的关系:x2+y2=(x+y)2-2xy,x2+y2=(x-y)2+2xy这些关系式在求解代数式解中的运用例1.已知x=√2,y=√3,求yx+xy的值。例2.已知x=,y=,求下列各式的值:(1);(2)2.平方差公式的运用(正用或逆用)例1计算3.分子有理化或分母有理化化简运算例1.4.利用①②通过,得到=a例1.已知x+=4,则x-=.例2.已知:,求的值。

1、当您付费下载文档后,您只拥有了使用权限,并不意味着购买了版权,文档只能用于自身使用,不得用于其他商业用途(如 [转卖]进行直接盈利或[编辑后售卖]进行间接盈利)。
2、本站所有内容均由合作方或网友上传,本站不对文档的完整性、权威性及其观点立场正确性做任何保证或承诺!文档内容仅供研究参考,付费前请自行鉴别。
3、如文档内容存在违规,或者侵犯商业秘密、侵犯著作权等,请点击“违规举报”。

碎片内容

初三数学解题智慧之二次根式

您可能关注的文档

百万精品文档+ 关注
实名认证
内容提供者

中小学学习资料教案课件

确认删除?
VIP
微信客服
  • 扫码咨询
会员Q群
  • 会员专属群点击这里加入QQ群
客服邮箱
回到顶部