电脑桌面
添加小米粒文库到电脑桌面
安装后可以在桌面快捷访问

2016中考第19题强化训练VIP免费

2016中考第19题强化训练_第1页
1/3
2016中考第19题强化训练_第2页
2/3
2016中考第19题强化训练_第3页
3/3
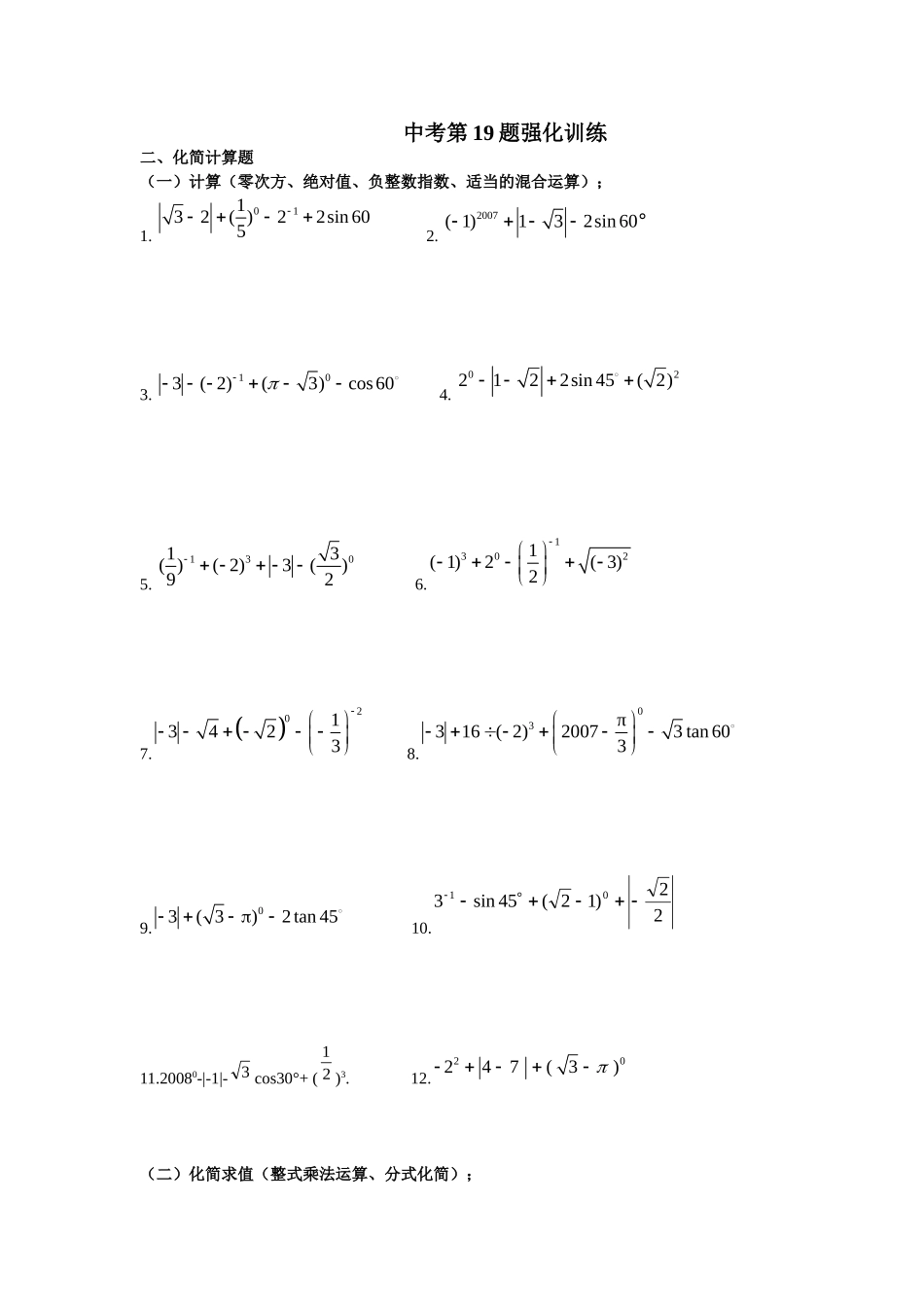
中考第19题强化训练二、化简计算题(一)计算(零次方、绝对值、负整数指数、适当的混合运算);1.01132()22sin6052.2007(1)132sin60°3.103(2)(3)cos604.022122sin45(2)5.13013()(2)3()926.13021(1)2(3)27.20134238.03π316(2)20073tan6039.03(3)2tan4510.22)12(45sin30111.20080-|-1|-3cos30°+(21)3.12.20247(3)(二)化简求值(整式乘法运算、分式化简);1.计算:xyxy4x5yxxy4x5yxy2x22222.24142xx3.1a11a224.先化简,再求值:224242xxx,其中22x5.当a=2时,求1121422aaaa的值。6.化简a(a-2b)-(a-b)27.先化简,再求值:1)111(xxx,其中2x8.先化简,再求值:321121xxxxx·,其中21x9.先化简,再求值:2121111aaaa,其中31a10.化简求值:(abba22+2)÷baba22,其中2a,21b.11.先化简,再求值:()()(2)ababbb,其中1a,1b.12.化简,求值:)8()32xxx(,其中42x13.先化简后求值22221211aaaaaaa其中3a14.先化简,再求值:(2a+b)(2a-b)+b(2a+b)-4a2b÷b,其中a=-21,b=2.

1、当您付费下载文档后,您只拥有了使用权限,并不意味着购买了版权,文档只能用于自身使用,不得用于其他商业用途(如 [转卖]进行直接盈利或[编辑后售卖]进行间接盈利)。
2、本站所有内容均由合作方或网友上传,本站不对文档的完整性、权威性及其观点立场正确性做任何保证或承诺!文档内容仅供研究参考,付费前请自行鉴别。
3、如文档内容存在违规,或者侵犯商业秘密、侵犯著作权等,请点击“违规举报”。

碎片内容

2016中考第19题强化训练

您可能关注的文档

百万精品文库+ 关注
实名认证
内容提供者

学习课件教案小学中学资料大全

确认删除?
VIP
微信客服
  • 扫码咨询
会员Q群
  • 会员专属群点击这里加入QQ群
客服邮箱
回到顶部