电脑桌面
添加小米粒文库到电脑桌面
安装后可以在桌面快捷访问

高三数学两角和与差的正弦、余弦、正切苏教版(文)知识精讲VIP免费

高三数学两角和与差的正弦、余弦、正切苏教版(文)知识精讲_第1页
1/15
高三数学两角和与差的正弦、余弦、正切苏教版(文)知识精讲_第2页
2/15
高三数学两角和与差的正弦、余弦、正切苏教版(文)知识精讲_第3页
3/15
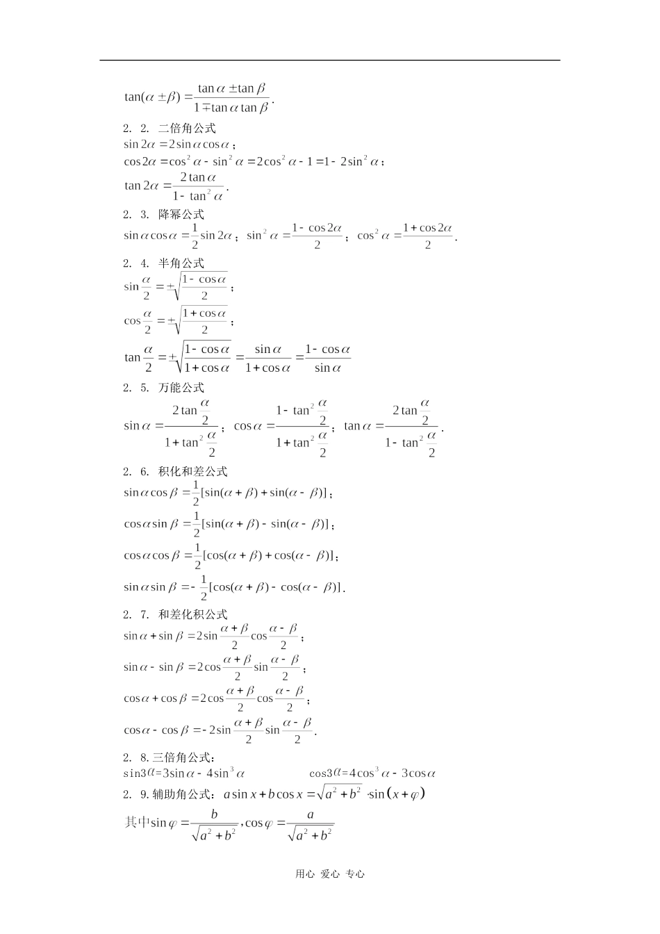
高三数学两角和与差的正弦、余弦、正切苏教版(文)【本讲教育信息】一.教学内容:两角和与差的正弦、余弦、正切二.教学目的:1、了解用向量的数量积推导出两角差的余弦公式的过程。2、能从两角差的余弦公式推导出两角和的余弦、两角和与差的正弦、两角和与差的正切公式,体会化归思想的应用;掌握两角和与差的三角函数公式,能运用它们进行简单的三角函数式的化简、求值及恒等式证明。3、能从两角和公式推导出二倍角的正弦、余弦、正切公式,体会化归思想的应用,掌握二倍角公式(正弦、余弦、正切),能运用它们进行简单的三角函数式的化简、求值及恒等式证明。4、能运用两角和与差的三角函数公式进行简单的恒等变换,推导出积化和差、和差化积、半角公式,但不要求记忆和应用。三.教学重点:掌握两角和与差的三角函数公式,能运用它们进行简单的三角函数式的化简求值及恒等式证明。四.教学难点:角的变换与拆分。以及灵活运用公式解题的能力。五.知识点归纳:1、知识结构2、基本公式2.1.两角和、差的正弦、余弦、正切公式;;用心爱心专心.2.2.二倍角公式;;.2.3.降幂公式;;.2.4.半角公式;;2.5.万能公式;;.2.6.积化和差公式;;;.2.7.和差化积公式;;;.2.8.三倍角公式:sin3=cos3=2.9.辅助角公式:用心爱心专心3、公式的灵活运用3.1角的拆分(1)从使用的公式来看有向诱导公式方向转化的;例已知,为第三象限角,求解:30°-2α=180°-2(75°+α)。α-45°=(75°+α)-120°。(2)利用和差关系拆分的--拆分为特殊角;例1.中,若,则的值是()A.B.C.或D.解:π-C=A+B。例2.在中,,则_____________。解:A=例3._______________。解:20°=30°-10°40°=30°+10°(3)公式的变形使用对于两角和与两角差的正弦、余弦、正切公式,二倍角的正弦、余弦、正切公式,在学习时应注意以下几点:(1)不仅对公式的正用逆用要熟悉,而且对公式的变形应用也要熟悉;(2)善于拆角、拼角,如,等;(3)注意倍角的相对性;(4)要时时注意角的范围;(5)化简要求;(6)熟悉常用的方法与技巧,如切化弦,异名化同名,异角化同角等。【典型例题】例1.已知,求cos。分析:因为既可看成是看做是的倍角,因而可得到下面的两种解法。解法一:由已知sin+sin=1①cos+cos=0②①2+②2得2+2cos∴cos①2-②2得cos2+cos2+2cos()=-1即2cos()〔〕=-1∴用心爱心专心解法二:由①得③由②得④④÷③得点评:此题是给出单角的三角函数方程,求复角的余弦值,易犯错误是利用方程组解sin、cos、sin、cos,但未知数有四个,显然前景并不乐观,其错误的原因在于没有注意到所求式与已知式的关系。本题关键在于化和为积促转化,“整体对应”巧应用。例2.已知tanα,tanβ是方程x2-5x+6=0的两个实根,求。分析:由韦达定理可得到进而可以求出的值,再将所求值的三角函数式用tan表示便可知其值。解法一:由韦达定理得tan所以tan解法二:由韦达定理得tan所以tan点评:(1)本例解法二比解法一要简捷,好的解法来源于熟练地掌握知识的系统结构,从而寻找解答本题的知识“最近发展区”。(2)运用两角和与差的三角函数公式的关键是熟记公式,我们不仅要记住公式,更重要的是抓住公式的特征,如角的关系,次数关系,三角函数名等。抓住公式的结构特征对提高记忆公式的效率起到至关重要的作用,而且抓住了公式的结构特征,有利于在解题时观察分析题设和结论等三角函数式中所具有的相似性的结构特征,联想到相应的公式,从而找到解题的切入点。(3)对公式的逆用公式,变形式也要熟悉,如用心爱心专心例3.α是△ABC的内角,若sinα+cosα=-,则tanα的值是()A.-B.-C.D.方程思想:方法1:=-(+cosα)(>0)1-cos2α=(+cosα)2cosα=-(舍正),sinα=,tanα=-;选B方法2:(sinα+cosα)2=sinαcosα=-构造方程x2+x-=0sinα=,cosα=-选B方法3:令tan=t,则+=-(万能公式)解得t=3(舍负),tanα==-;选B函数思想:方法4:sinα+cosα=-<α<π,又y=tanα增-1<tanα<0,故选B;方法5:已知sinα=-(+cosα)tanα=-(1+)且-1<cosα<--<tanα<0...

1、当您付费下载文档后,您只拥有了使用权限,并不意味着购买了版权,文档只能用于自身使用,不得用于其他商业用途(如 [转卖]进行直接盈利或[编辑后售卖]进行间接盈利)。
2、本站所有内容均由合作方或网友上传,本站不对文档的完整性、权威性及其观点立场正确性做任何保证或承诺!文档内容仅供研究参考,付费前请自行鉴别。
3、如文档内容存在违规,或者侵犯商业秘密、侵犯著作权等,请点击“违规举报”。

碎片内容

高三数学两角和与差的正弦、余弦、正切苏教版(文)知识精讲

您可能关注的文档

慧源书店+ 关注
实名认证
内容提供者

从事历史教学,热爱教育,高度负责。

相关文档

确认删除?
VIP
微信客服
  • 扫码咨询
会员Q群
  • 会员专属群点击这里加入QQ群
客服邮箱
回到顶部