电脑桌面
添加小米粒文库到电脑桌面
安装后可以在桌面快捷访问

高三数学3.4、数列求和VIP免费

高三数学3.4、数列求和_第1页
1/3
高三数学3.4、数列求和_第2页
2/3
高三数学3.4、数列求和_第3页
3/3
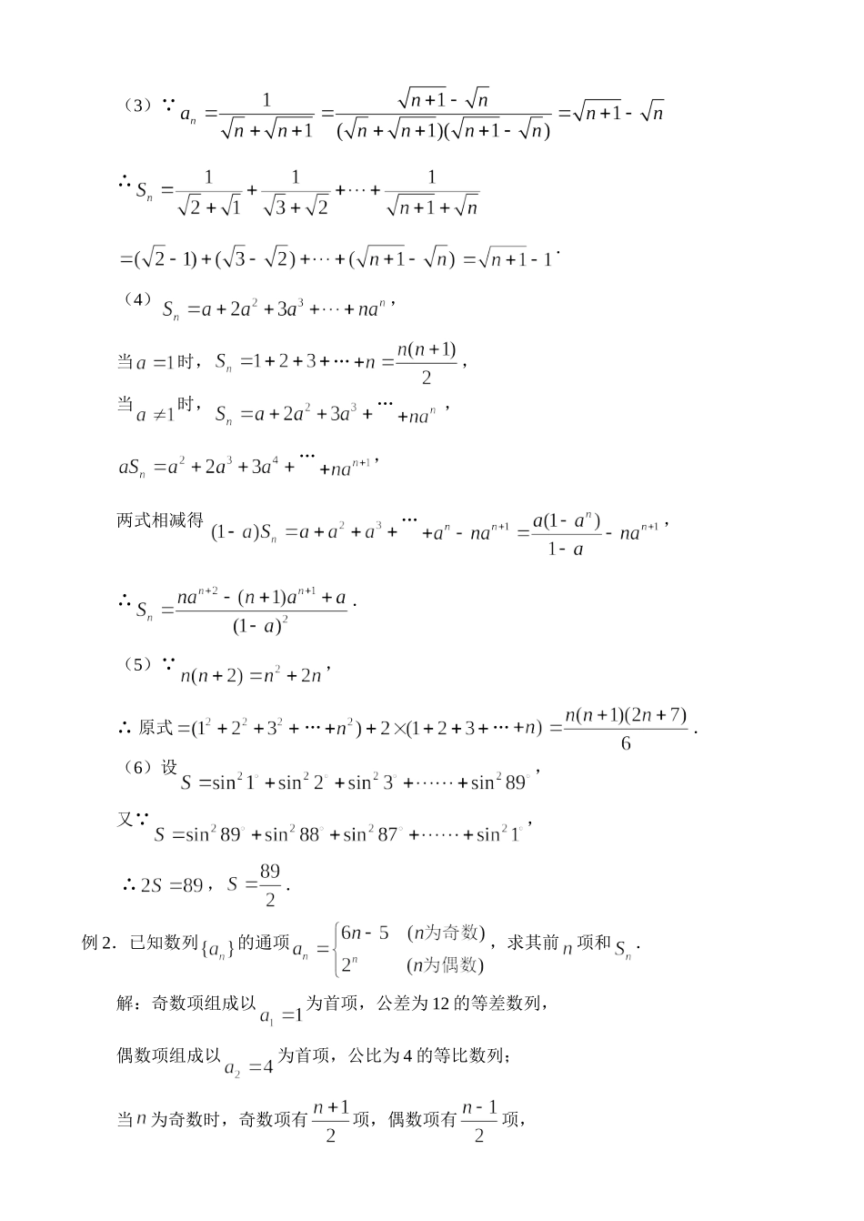
高三数学数列求和一、课题:数列求和二、教学目标:1.熟练掌握等差数列与等比数列的求和公式;2.能运用倒序相加、错位相减、拆项相消等重要的数学方法进行求和运算;3.熟记一些常用的数列的和的公式.三、教学重点:特殊数列求和的方法.四、教学过程:(一)主要知识:1.等差数列与等比数列的求和公式的应用;2.倒序相加、错位相减,分组求和、拆项求和等求和方法;(二)主要方法:1.求数列的和注意方法的选取:关键是看数列的通项公式;2.求和过程中注意分类讨论思想的运用;3.转化思想的运用;(三)例题分析:例1.求下列数列的前项和:(1)5,55,555,5555,…,,…;(2);(3);(4);(5);(6).解:(1).(2)∵,∴.(3)∵∴.(4),当时,…,当时,…,…,两式相减得…,∴.(5)∵,∴原式…….(6)设,又∵,∴,.例2.已知数列的通项,求其前项和.解:奇数项组成以为首项,公差为12的等差数列,偶数项组成以为首项,公比为4的等比数列;当为奇数时,奇数项有项,偶数项有项,∴,当为偶数时,奇数项和偶数项分别有项,∴,所以,.例3.(《高考A计划》智能训练14题)数列的前项和,数列满足,若是等比数列,(1)求的值及通项;(2)求和….(解答见教师用书127页)(四)巩固练习:设数列的前项和为,则等于()五、课后作业:《高考计划》考点22,智能训练2,4,5,12,15,16.

1、当您付费下载文档后,您只拥有了使用权限,并不意味着购买了版权,文档只能用于自身使用,不得用于其他商业用途(如 [转卖]进行直接盈利或[编辑后售卖]进行间接盈利)。
2、本站所有内容均由合作方或网友上传,本站不对文档的完整性、权威性及其观点立场正确性做任何保证或承诺!文档内容仅供研究参考,付费前请自行鉴别。
3、如文档内容存在违规,或者侵犯商业秘密、侵犯著作权等,请点击“违规举报”。

碎片内容

高三数学3.4、数列求和

您可能关注的文档

慧源书店+ 关注
实名认证
内容提供者

从事历史教学,热爱教育,高度负责。

相关文档

确认删除?
VIP
微信客服
  • 扫码咨询
会员Q群
  • 会员专属群点击这里加入QQ群
客服邮箱
回到顶部